INSTITUCIONES, ETNICIDAD Y CONFLICTO: COHESIÓN Y FRAGMENTACIÓN SOCIAL EN EL DEPARTAMENTO DEL CAUCA (COLOMBIA, 1990 - 2012)*

Institutions, ethnicity and conflict: behind social cohesion and fragmentation in the Department of Cauca. (Colombia, 1990 - 2012)

Instituições, etnicidade e conflito: coesão e fragmentação social no Departamento de Cauca (Colômbia, 1990 - 2012)

Raúl Hernando Cortés Landazury1

* DOI: https://doi.org/10.18601/01245996.v26n50.08. Este artículo es el resultado del Proyecto de investigación titulado: "i-Pacífico: Instituciones Locales, Descentralización Fiscal Y Desarrollo En El Pacífico Colombiano " de la Vicerrectoría de investigaciones de Unicauca. Recepción: 22-03-2023, modificación final: 25-10-2023, aceptación: 27-11-2023. Sugerencia de citación: Instituciones, etnicidad y conflicto: cohesión y fragmentación social en el Departamento del Cauca (Colombia, 1990-2012). Revista de Economía Institucional, 26(50), 175-202.

1 Doctor en Economía. Profesor, Departamento Ciencias Económicas, Universidad del Cauca, Colombia, Popayán, [rcortes@unicauca.edu.co], [https://orcid.org/0000-0003-2923-0523].


Resumen

Cuando las relaciones humanas se ven afectadas por conflictos, surgen tensiones entre las normas, se presenta la fragmentación y se debilita la cohesión social. En este contexto, se examinan los impactos de la acción afirmativa en la fragmentación étnica en el Departamento del Cauca, con un enfoque particular en las comunidades afrodescendientes e indígenas en el norte de la región. Para analizarlo, se empleó un índice de fraccionamiento que evalúa la dispersión de organizaciones no gubernamentales. Los resultados mostraron un aumento en la fragmentación entre las comunidades indígenas; además, el número de asociaciones afrodescendientes superó al de las indígenas, sin evidencia de efecto demostración. Se concluye que la tendencia hacia la fragmentación ha debilitado las grandes organizaciones que defienden causas comunes, augurando conflictos tanto dentro como entre los distintos grupos.

Palabras clave: instituciones, conflictos étnicos, cohesión social, fragmentación social, acciones afirmativas; JEL: B25, Q33, D74, Y8, L3, J14.


Abstract

When human relationships are affected by conflict, tensions between norms arise, fragmentation occurs, and social cohesion weakens. In this context, the impacts of affirmative action on ethnic fragmentation in the Department of Cauca are examined, with a particular focus on Afro-descendant and indigenous communities in the north of the region. To analyze it, a fractionation index was used that evaluates the dispersion of non-governmental organizations. Tne results showed an increase in fragmentation among indigenous communities; Furthermore, the number of Afro-descendant associations exceeded that of indigenous ones, with no evidence of a demonstration effect. It is concluded that the trend towards fragmentation has weakened large organizations that defend common causes, predicting conflicts both within and between different groups.

Keywords: institutions, ethnic conflicts, social cohesion, social fragmentation, affirmative action; JEL: B25, Q33, D74, Y8, L3, J14.


Resumo

Quando as relações humanas são afectadas por conflitos, surgem tensões entre normas, ocorre fragmentação e a coesão social enfraquece. Neste contexto, são examinados os impactos da ação afirmativa na fragmentação étnica no Departamento de Cauca, com foco particular nas comunidades afrodescendentes e indígenas no norte da região. Para analisá-lo foi utilizado um índice de fracionamento que avalia a dispersão das organizações não governamentais. Os resultados mostraram um aumento na fragmentação entre as comunidades indígenas; Além disso, o número de associações afrodescendentes superou o de indígenas, sem evidência de efeito demonstração. Conclui-se que a tendência à fragmentação enfraqueceu grandes organizações que defendem causas comuns, prevendo conflitos tanto dentro como entre diferentes grupos.

Palavras-chave: instituições, conflitos étnicos, coesão social, fragmentação social, ações afirmativas; JEL: B25, Q33, D74, Y8, L3, J14.


Además de las regulaciones formales, las instituciones también abarcan prácticas y rutinas —las llamadas instituciones informales —que ofrecen una perspectiva particular acerca de cómo los cambios estructurales, relacionados con la crisis del sistema-mundo, impactan en el desarrollo de los conflictos (Bandeira, 2009; Granovetter, 1992; Portes, 2006). En este contexto, los factores que pueden determinar la efectividad de una reforma institucional, ya sea previa o posterior a estos problemas, suelen agruparse en tres categorías (Eslava et al., 2016): económicos, culturales y sociopolíticos. Estas categorías tienen diferentes implicaciones en el desenvolvimiento de la acción colectiva.

Colombia, y en particular el departamento del Cauca, no es ajena a esta clase de fenómenos. A la ya turbulenta situación de orden público en el norte del Departamento se añaden enfrentamientos armados entre comunidades afrodescendientes e indígenas del pueblo Nasa. Esto contrasta con las iniciativas de "Paz total" del nuevo Gobierno de Gustavo Petro a finales de 2022. Petro, exguerrillero de izquierda, asume la presidencia después de dos siglos de gobiernos conservadores y casi tres décadas después de la instauración del neoliberalismo extractivista. Este modelo se acompañó políticamente, entre otras cosas, de una plataforma de democracia racial que establecía ciertos marcos de desarrollo para comunidades étnicas con historias convulsas desde la fundación de la república (González-Gómez, 2022)2.

En efecto, casi paralelas a las reformas institucionales del neoliberalismo y a los programas de ajuste estructural de finales de la década de 1980, se introdujeron y aplicaron nuevas leyes mineras y estatutos extractivistas. Éstos tuvieron impactos negativos sobre los territorios ancestrales bajo el amparo de un marco de descentralización político-administrativo y políticas de acción positiva teñidas de multiculturalismo (Puyana Mutis, 2017). Tal es el caso del Decreto Ley 2655 de 1988, que establece el primer código de minas de Colombia y regula la asignación de títulos de explotación. Esto fue seguido por la Ley 685 de 2001, dirigida a usufructuar los recursos sectoriales de propiedad estatal y privada, izando la bandera del uso racional y amigable entre la sociedad y la naturaleza. Mientras tanto, se promovieron regulaciones casi compensatorias de los derechos étnicos y la pluralidad racial, que habían sido socavados por la modernización productiva3. La idea parece haber sido aliviar el conflicto entre la sociedad mayoritariamente prodesarrollista y las minorías enfocadas en la agroecología, intentando impulsar la diversidad étnica y neutralizar tensiones tanto inter como intracomunitarias. Todo esto promoviendo un equilibrio entre el sistema económico capitalista y el sistema político democrático multicultural (Bresser-Pereira, 2017).4

Sin embargo, los efectos de estas medidas son controvertidos en relación con las trayectorias de la conflagración: cohesión frente a fragmentación o polarización.

En años recientes, se han agudizado los conflictos en relación con los derechos étnicos en el norte del departamento del Cauca. Esto se debe a que los modelos nacionales de desarrollo no reconocen el derecho consuetudinario mediante el cual los indígenas y negros—afrodescendientes, afrocolombianos5 —han regulado, desde hace mucho tiempo, los usos, la ocupación y distribución de sus tierras (Ospina, 2015). Este asunto parece complicarse con la introducción de políticas de acción afirmativa para las comunidades negras o afrodescendientes, especialmente tras la promulgación de la Ley 70 de 1993, que da inicio a una serie de reivindicaciones para las culturas de africanía. Dado este contexto, es pertinente preguntarse: ¿Qué impacto tuvieron en la cohesión social interétnica las políticas de acción afirmativa de la década de 1990 que beneficiaron a las comunidades afrodescendientes e indígenas en el departamento del Cauca? Y, ¿qué cambios surgieron en la región en cuanto a conflicto o fragmentación a partir de la evolución de las organizaciones sociales con identidad étnica entre la segunda mitad de la década de 1990 y la primera década del siglo XXI?

En sociedades en transición, es común que individuos e instituciones participen en diversas iniciativas de carácter territorial. En estas, se establecen, refuerzan o cuestionan las reglas de juego que definen lo "interno" y "externo", clasificando, ordenando o delimitando el espacio vital de desarrollo (Moore, 2016). Este documento examina el comportamiento de las organizaciones o entidades no gubernamentales (ONG o ESAL) de carácter étnico. Se centra en analizar sus ciclos de emergencia a lo largo del tiempo y su tendencia hacia la cohesión o dispersión, utilizando un índice de fragmentación. Este índice actúa como un indicador de la predisposición al conflicto en zonas históricamente marcadas por la confrontación armada y la movilización social, como es el caso del departamento del Cauca, ubicado en el suroccidente de Colombia. El estudio inicia contrastando referentes teóricos para situar estas tensiones colectivas en el contexto de la conflictividad moderna. Posteriormente, se aborda el enfoque metodológico basado en análisis documental y en el índice de fragmentación, se explora el contexto organizacional, y se analizan y discuten los resultados en función de los niveles de convergencia o divergencia interétnica. El trabajo concluye con algunas reflexiones finales.

MARCO TEÓRICO

Las teorías del conflicto sociológico entienden que el conflicto es inherente a cualquier sistema social, dado que comúnmente existen intereses antagónicos en todos los conglomerados humanos, especialmente debido a la distribución desigual de recursos (Ginty & Williams, 2016; Rapaport & Ireland, 2012). En este contexto, el conflicto social surge de una relación entre, al menos, dos actores que se perciben con intereses, objetivos o necesidades contradictorios vinculados al capital, clase, género, casta, etnia, raza, entre otros (Dietz & Engels, 2020). La diversidad étnica y las instituciones, tanto formales como informales, pueden ser un detonante hacia la dispersión o un catalizador para la cohesión social. Mientras que, por un lado, promover la diversidad puede asociarse con menor confianza (Putnam, 2007), por otro, la uniformidad podría conducir a mayor solidaridad y confianza. Algunos autores (Alesina & Ferrara, 2005; Finseraas et al., 2019) sostienen que la diversidad étnica no solo podría disminuir la confianza entre la mayoría y los grupos minoritarios, sino que también puede ser perjudicial para la confianza dentro del grupo dominante, lo que se conoce como Teoría de la Constricción.

Otros investigadores (Rincón García, 2009; Torres, 2001) argumentan que destacar la diferenciación y exponer singularidades favorece la interacción y la aglutinación de preferencias con miembros de grupos externos, reduciendo prejuicios y percepciones agonales, lo que potencia la colaboración y confianza. Es lo que sostiene la Teoría del Contacto (Kolb, 1954). Para los economistas institucionalistas, cuando las personas confían mutuamente, se reducen los costos de transacción, las organizaciones funcionan mejor, disminuye la necesidad de regulación formal, los gobiernos son más eficientes, las promesas políticas son más creíbles y los sistemas financieros prosperan (Acemoglu Daron & Robinson James, 2012; Meador & Skerratt, 2017).

Las instituciones formales, entendidas como las reglas de juego escritas, engloban las entidades amparadas por el derecho positivo, tales como las constituciones, las leyes, los contratos, los códigos de conducta y los manuales de convivencia (Chavance, 2018). Las informales, en cambio, abarcan un conjunto de normas nacidas de la costumbre, transmitidas socialmente, que configuran lo que se denomina "hábitos" y "cultura" (Hodgson, 2011; Eslava et al., 2016).

Estos factores informales, especialmente los relacionados con la cultura, son cruciales para el emprendimiento social. Siguiendo a autores como Weber, Banfield, Putnam y otros (Cante, 2007; Lakshmanan et al., 2009), las creencias e ideologías pueden influir en aspectos tan sensibles como la acción colectiva y la gobernanza. Frente al tema étnico, estas consideraciones no son ajenas. A pesar de la percepción general, en ausencia de movilidad social, los conflictos étnicos pueden ser más intensos que los de clase. Un cambio en las condiciones materiales puede aliviar el conflicto, pero las cuestiones simbólicas e identitarias tienen raíces estructurales profundas (Acemoglu y Robinson, 2012)6.

Ahora bien, dado que la distinción "nosotros-ellos" parece ser una característica constante de los grupos humanos, la etnicidad surge cuando distintos conglomerados entran en contacto con otros, trayendo, entre otras cosas, una diferenciación institucional (Eriksen, 2018; Barth, 1976). Las etnias se entienden como colectivos formados por percepciones (Carlin et al., 2022; Ghosh & Mitra, 2022; King & Samii, 2018). Por ello, la etnicidad es un conjunto de características socialmente atribuidas que poseen un valor identificativo y pueden manifestarse de diversas maneras en contextos de subyugación y marginalidad. En estos escenarios, el Estado ha respondido en tiempos modernos con acciones afirmativas (Ellis, 2018)7. Aquí, la identidad desempeña un papel sistemático en las movilizaciones relacionadas con conflictos de tierras, reflejando inevitables divisiones históricas, frecuentemente etnolingüísticas, sin descartar su uso instrumental para objetivos políticos (Cederman, 2018). Según Esteban et al. (2012), la relación entre etnicidad y conflicto puede comprenderse a través de dos perspectivas: la "primordialista", que sostiene que las diferencias étnicas son ancestrales, profundas e irreconciliables, y por ende, invariablemente sobresalientes y el enfoque "instrumental" que ve la etnicidad como una base estratégica para coaliciones que buscan una mayor participación del poder económico o político (ver cuadro 1).

Observando el panorama histórico de tensión en el Cauca, creemos que estos dos enfoques respaldan la teoría general de la constricción, por cuanto en sociedades étnicamente divididas resulta complicado alcanzar acuerdos democráticos y, cuando se logran, tienden a ser frágiles. Esto se debe a que las susceptibilidades simbólicas y percepcionales abundan en tales sociedades. La situación se agrava cuando los gobiernos, ya sea de forma intencionada, explícita o subrepticia, proveen una cantidad desigual de bienes y servicios a ciertos grupos minoritarios, redistribuyendo menos a algunos grupos en favor de otros, especialmente cuando se implementan políticas de acción afirmativa de manera simultánea. En un contexto interétnico, esta dinámica puede intensificar la polarización, vista en términos del "antagonismo" entre pueblos con distintos símbolos, identidades e historia, como es el caso de los indígenas y afrodescendientes. Sin embargo, esta misma dinámica puede disminuir el distanciamiento o fraccionamiento entre distintos grupos étnicos debido a dos factores: la sensación de "alienación" entre miembros de diferentes comunidades y el sentido de "identificación" con el propio grupo (ver gráfico 1).

Así, surgen inquietudes respecto a los arreglos organizativos, ya sean formales o informales, colectivos, corporaciones o movimientos sociales, dentro del espacio societal del departamento del Cauca (Colombia), frente a este tipo de conflictos modernos. Es importante señalar que la etnicidad, como parte esencial del funcionamiento humano y de la personalidad, actúa como un filtro determinando cómo se asimila o rechaza conscientemente la historia colectiva, ya sea olvidándola, reinterpretándola o aceptándola. Esta dimensión involucra aspectos como las celebraciones, el idioma y las instituciones locales, que refuerzan la cohesión e identidad, pero también pueden ser fuentes de tensión y conflicto (Danto, 2000). Según la Unión Europea, la cohesión social se define como la capacidad de una sociedad para garantizar el bienestar de todos sus miembros, reduciendo las disparidades y evitando la polarización (Benard, 2012). Sin embargo, Fernández et al. (2021) argumentan que, en contextos internacionales, la cohesión puede verse afectada en las sociedades más desarrolladas debido a la inestabilidad global8. Cuando se considera este concepto a una escala regional o local, hace referencia a los vínculos que unen a los habitantes de un área específica (Bazuń & Kwiatkowski, 2022). Estos vínculos se establecen y evolucionan a través de interacciones basadas en la disponibilidad de recursos, valores e intereses. Se pueden categorizar en tres dimensiones: (1) las que se refieren a las relaciones interpersonales (dimensión relacional), (2) las que se vinculan con recursos compartidos (dimensión socioeconómica de recursos) y (3) las que abordan las normas de convivencia (dimensión normativa).

El concepto de cohesión social se refiere al papel esencial que desempeña la sociedad en consolidar el desarrollo del grupo al que pertenece9. No obstante, los contextos históricos y los niveles de desarrollo configuran cada perspectiva. Se puede observar en situaciones donde prevaleció un Estado de Bienestar, como en Europa, o en escenarios marcados por la desigualdad y el autoritarismo, típicos de América Latina. Por ello, las acciones afirmativas relacionadas con la etnicidad y las contiendas por la tierra muestran matices particulares.

De otra parte, las acciones afirmativas se definen como medidas especiales diseñadas para alcanzar la equidad en una sociedad (Vanegas, L. et al., 2008). El objetivo es fomentar la inclusión de todos aquellos grupos y personas que, por diversas razones, mantienen una relación asimétrica con las estructuras de poder (Fryer & Loury, 2005). Sin embargo, ante la resistencia de las minorías étnicas y el creciente protagonismo deliberativo de las comunidades negras, se ha observado en el Departamento del Cauca un fenómeno denominado "indigenización de lo negro". Se argumenta que han aumentado las movilizaciones colectivas de estas organizaciones en respuesta a acciones que vulneran su autonomía (Copete, 2016)10.

Frente a lo expuesto, se puede suponer que las políticas de acción afirmativa consagradas en el Convenio 169 de la Organización Internacional del Trabajo (OIT), adoptado por Colombia en 1991 por medio de la Ley 21, más la intensidad del conflicto armado, reforzaron la cohesión tanto intra como interorganizacional. Se esperaría que los problemas compartidos desincentivaran la fragmentación y redujeran la polarización entre las minorías étnicas. Basándonos en esta hipótesis, el objetivo de este trabajo es identificar las características específicas de las organizaciones étnicas en el departamento del Cauca, con el propósito de determinar posibles señales de articulación y/o fragmentación, así como potenciales amenazas de propagación del conflicto en el ámbito de las organizaciones de la sociedad civil (ONG's).

METODOLOGÍA

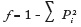
La investigación en el contexto de conflictos interétnicos en el departamento del Cauca combina el análisis documental con el enfoque cuantitativo. Esta metodología nos facilita la determinación de un índice que mide la diversidad étnica de un país de manera cuantitativa, permitiendo comparar diferentes áreas y analizar su relación con otras variables. Así, un índice de fragmentación, como el presentado posteriormente, se relaciona con la probabilidad de que individuos u organizaciones seleccionados al azar en un país pertenezcan a diferentes grupos étnicos, según Colomer (2009).

Donde f representa el nivel de fragmentación

Pi: tamaño del grupo i (en términos de habitantes). En este caso, se refiere a la cantidad de organizaciones étnicas afro e indígenas en relación con el total de organizaciones no gubernamentales.

El índice de fragmentación asumirá valores extremos que oscilan entre 0 y 1. Estos servirán como referencia para determinar el grado de apiñamiento o dispersión.

Un valor de cero corresponde a un país o región en el que todos sus habitantes u organizaciones pertenecen a un solo grupo. Por otro lado, un valor de uno indica una situación teórica en la que cada individuo o asociación pertenece a un grupo diferente (Barro, A. A. Oduro, 2002; Easterly & Levine, 1997; Fearon, 2003). De hecho, si se llevan a cabo estudios basados en muestras, se podría inferir que una alta heterogeneidad étnica y polarización se consideran positivas cuando el indicador supera 0,42 (ver gráfica 1). Por ejemplo, África tiene los índices de fragmentación más elevados a nivel mundial, lo que se traduce en mayores niveles de desconfianza, precariedad de la acción colectiva y poco desarrollo institucional.

Entretanto, el departamento del Cauca, ubicado en el suroccidente de Colombia, se ha caracterizado por un alto nivel de agitación sociopolítica relacionada con la actividad organizativa. Es importante destacar que este ejercicio no se enfoca en individuos, sino en organizaciones de la sociedad civil. Específicamente, aquellas registradas en la Cámara de Comercio y que tienen como objetivos la promoción étnica.

ELEMENTOS CONTEXTUALES

En el siglo XX, el pacto pluriétnico y multicultural establecido en la Constitución de 1991 incorporó la equidad, la libertad y la solidaridad como principios fundamentales para las ciudadanías diferenciadas. Esta disposición instó al Estado y a la sociedad civil a concretar estos principios a través del diálogo. De esta manera surgieron procesos de intervención con un enfoque diferencial y debates en torno a la interculturalidad (Bartolomé, 2010; Svetelj, 2018).

La interculturalidad, desde esta perspectiva, está vinculada a un modelo multicultural que valora la diversidad étnica. Sin embargo, de cierta forma, ha segmentado a la población rural a partir de dicha diferenciación (Duarte, 2013). La falta de una estrategia de ordenamiento territorial que unifique visiones interétnicas e interculturales ha agudizado los conflictos relacionados con la tierra y la igualdad de derechos entre los actores rurales que habitan la región. Estos conflictos no parecen seguir patrones causales externos, sino que se originan de la falta de canales institucionales para llegar a acuerdos entre la diversidad de concepciones, historias, modos de organización geográfica y percepciones en torno a lo público (Rincón García, 2009).

Un elemento distintivo de la inequidad y desequilibrio social, particularmente en relación a los pueblos indígenas y afrodescendientes, no sólo en el Cauca y Colombia sino tamnién en América Latina y el Caribe, es la degradación de recursos naturales y la pérdida de territorios ancestrales (Díaz, 2017). Como respuesta, y bajo la presión internacional, Colombia ha adoptado instrumentos como el Convenio 169 de la OIT y la Agenda 21 de la Cumbre de Río, buscando reconocer y proteger los derechos y aspiraciones de estos colectivos sobre tierras y recursos naturales (Abierta, 2015).

El origen de la exclusión y segregación étnica y racial se remonta a la conquista y colonización (Wade, 2011). La apropiación de territorios y riquezas, junto con la subyugación política, cultural y religiosa, y la masiva explotación laboral de indígenas y afrodescendientes en faenas agrícolas y mineras, se manifestó en instituciones como el "servicio personal", la "encomienda", el trabajo forzado y la esclavitud (Góngora-Mera et al., 2019; Rangel, 2016).

A pesar de las promesas republicanas de igualdad, libertad y fraternidad, Colombia continuó con prácticas de asignación y distribución basadas en la raza, por lo menos, hasta 1851 (Angulo, 1999; Mosquera Rosero-Labbé et al., 2009).

Dada esta historia, es pertinente preguntar cómo las tensiones actuales se manifiestan en el ámbito organizativo. ¿Qué otros aspectos históricos influyen en las relaciones entre estos dos grupos étnicos en el contexto de reformas políticas predominantes?

Principio del formulario. Durante los siglos XVIII y XIX, la población indígena, que servía como fuerza de trabajo esclavizada en las haciendas, experimentó un declive demográfico. Tras ser diezmada, fue desplazada de las zonas planas del Norte del Cauca hacia las partes altas de las cordilleras. Como consecuencia, contingentes de población negra, traídos del continente africano, reemplazaron la mano de obra en la última fase del período colonial y continuaron haciéndolo durante el período republicano del Gran Cauca. Sin embargo, bajo el liderazgo del indígena Juan Tama (pueblo nasa) en 1708, el grupo originario obtuvo títulos de propiedad de sus tierras en el Cauca otorgados por la corona española, buscando conservarlas en el futuro. No obstante, sus unidades básicas representativas, conocidas como resguardos, enfrentarían legislaciones posteriores que intentarían disolverlas o reducirlas (Moreno, 2005; Ocoró & Oliveros, 2020)11.

A partir de 1980 se produjo un cambio significativo en la política indigenista. Este cambio se confirma con la creación de 69 reservas indígenas en las tierras bajas y, posteriormente, con la formulación del Programa Nacional de Desarrollo de las Poblaciones Indígenas (PRODEIN) en 1984. Este programa promovió el fortalecimiento de la identidad indígena, sus formas tradicionales de organización, la consolidación de los lazos territoriales comunitarios y la adopción de alternativas modernas de subsistencia con el objetivo de mejorar su nivel de vida (Sánchez, 2020)12.

Por su parte, los pobladores de origen africano lograron establecerse en asentamientos campesinos que surgieron a partir de apropiaciones legales e ilegales, inicialmente clandestinas, de antiguos esclavos y sus descendientes en las dilatadas tierras llanas de sus antiguos propietarios (Duarte, 2015; Moreno, 2005)13.

Las personas de ascendencia africana se integraban como parte del sector campesino, quedando vinculados a la tierra a través de la propiedad individual y centrando su actividad en la recolección, a diferencia de las comunidades indígenas que mantenían un dominio comunitario de la tierra (ver cuadro 3).14

Los poblados de afrodescendientes comenzaron a surgir de manera distinta a los de los indígenas, configurándose como suburbios campesinos estrechamente vinculados a la estructura productiva regional a través del cultivo del cacao. Este fenómeno se vio afectado por las guerras de independencia y la abolición jurídica de la esclavitud en 1851. Hacia 1920, se había consolidado un proletariado semi-rural negro, característico de pequeños y medianos aparceros que poseían fincas generalmente mayores a tres hectáreas (Vega-Cantor & Gutierrez-Danton, 2018)15.

En la segunda década del siglo XX, desde el lado indígena, se produjo una reacción intensa y exasperada que condujo a la sublevación del indígena Quintín Lame. Esta sublevación se debió, en parte, a las políticas de modernización del campo impulsadas por la "revolución verde". Esta revolución buscaba, entre otros, una vida capitalista con innovaciones tecnológicas que elevaran la productividad del recurso tierra16.

Con el surgimiento de empresarios agrícolas modernos en los años 50 y 60, se intensificó la presión sobre la tierra, ya sea para el arrendamiento o la compra. Esto propició el establecimiento de industrias que procesan productos primarios y el fomento de cultivos tecnificados como el arroz y el algodón, sustituyendo cultivos tradicionales como el cacao, plátano, café y frutas. Además, se ampliaron los mercados urbanos y se abrieron mercados externos. Sin embargo, estas transformaciones impactaron de manera desigual a indígenas y negros. Los primeros reaccionaron fortaleciendo una organización autónoma y luchando de manera colectiva no solo para resistir sino también para recuperar territorios. Por su parte, los segundos, debido a su asentamiento en tierras planas de gran interés económico para la agroindustria azucarera, enfrentaron una mayor presión. Esto llevó a la descomposición y reducción de su economía campesina, al mismo tiempo que se transformaban en proletarios vinculados a los nuevos empresarios agrícolas capitalistas17.

Pese a las diferencias existentes, la implementación del modelo de descentralización político-administrativa logró algunas coincidencias en algunos municipios del Norte del Cauca con presencia de ambas etnias hacia finales de los años 1980 y 1990. En este contexto, surgió una colaboración entre organizaciones negras y resguardos indígenas. Mediante movimientos cívicos, ambas comunidades buscaban socavar la hegemonía de los partidos liberal y conservador, cuya legitimidad ya se encontraba en declive entre el electorado de la región18. Un ejemplo de esta colaboración es el Movimiento de Integración Comunitaria (MIC) en el municipio de Caloto, donde participaron ambos sectores19.

No obstante, según Moreno (2005), la desconfianza, luego de procesos como la recuperación conjunta de la hacienda Pilamo, la posterior separación de los dos grupos y la masacre de la hacienda El Nilo, tocaron también las fibras del conflicto armado donde se llegó a considerar a los afros, vinculados como obreros a las factorías de la región, como representaciones de paramilitares y a los indígenas de las partes montañosas como guerrilleros.

La Ley 21 de 1991, en respuesta a la crisis humanitaria global, insta al Estado Colombiano a adoptar medidas especiales para proteger a las personas, instituciones, bienes, trabajo, culturas tradicionales y el medio ambiente de los pueblos étnicos involucrados.

Sin embargo, a pesar de que la legislación parece inclinarse hacia los grupos originarios como los indígenas, el departamento del Cauca presenta una variedad de matices etno-demográficos. La población negra o afrocolombiana se posiciona como el grupo étnico minoritario con mayor presencia demográfica. Se organiza en 119 comunidades distribuidas en tres municipios donde se les han reconocido territorios colectivos. Estos territorios se dividen en 15 títulos, que suman un total de 501.617 hectáreas situadas principalmente en las subregiones pacífica, norte y macizo. De este modo, 256.042 individuos, que representan el 22.19% del total, se identifican como afrocolombianos. Por su parte, la población indígena cuenta con 247.987 personas, equivalente al 21.50% del total, organizadas en 83 resguardos situados en 26 de los 42 municipios del departamento. En conjunto, habitan en 544.000 hectáreas repartidas entre las comunidades Coconuco, Embera, Eperara, Siapidara, Guambiano, Inga, Nasa, Totoró y Yanacona. Algunos de estos grupos son remanentes de la antigua Confederación Pubenzina, que habían establecido un orden territorial previo a la llegada de los españoles (García 2009).

Desde una perspectiva sociológica, las comunidades indígenas han tenido una destacada presencia en organizaciones, especialmente a través de agremiaciones reconocidas como el Concejo Regional Indígena del Cauca (CRIC) y, más recientemente, la Asociación de Cabildos Indígenas del Norte del Cauca (ACIN). En cuanto a las comunidades afro (ver cuadro 4), se destacan la UAFROC y el Proceso de Comunidades Negras (PCN). Sin embargo, surge la pregunta: ¿Qué relación existe entre esta actividad étnico-organizativa y la posibilidad de exacerbar los conflictos entre blancos, mestizos, indígenas y afrodescendientes?

Pues bien, como adelantamos, los enfrentamientos entre grupos sociales en el Cauca no han sido escasos en la literatura socio-política. De ello dan cuenta los procesos de recuperación de la tierra emprendidos por algunos grupos indígenas frente a terratenientes blancos de la región. Esto podría interpretarse desde la perspectiva marxista de la lucha de clases, como lo enfatiza Vélez-Torres (2018): en un escenario de desigualdad como éste, donde el acceso a los bienes y servicios del territorio y la distribución de los daños están mediados por la acumulación de capital, el desequilibrio en la disposición de los medios de producción genera divisiones materiales entre quienes los poseen y quienes no. Sin embargo, dada la situación concreta de involucrar a dos o más comunidades con auto-identificación étnica, estos conflictos no solo surgen por la competencia por los bienes y servicios del territorio, sino también por los discursos que recrean la tradición y refutan la historia oficial de la uniformidad nacional, redefiniendo las fronteras simbólicas de la alteridad e identidad (Moreno, 2005). Con esto, no pretendemos esencializar o uniformar los móviles de las tensiones, sino matizar los aspectos étnico-institucionales y sus tendencias interorganizacionales. Por otro lado, llama la atención las recientes disputas entre campesinos mestizos minifundistas e indígenas, en contraste con las movilizaciones de comunidades "negras" o afrodescendientes que hablan de la "indigenización de lo afro" (Duarte, 2015). Como se puede observar en el mapa 1, para 2012 se destaca la proliferación de disputas entre ambos grupos étnicos, concentrándose principalmente en la zona norte y centro del departamento. Esta situación se ha expandido con los reclamos de los campesinos situados más al sur.

Los indígenas agrupados en el Consejo Regional Indígena del Cauca (CRIC) dicen tener un déficit de 142 mil hectáreas. Por ello, están solicitando al gobierno 20 mil hectáreas para aliviar esta situación. Por su parte, las comunidades afro buscan la titulización colectiva para sus territorios, ya que, a diferencia de sus pares en la Costa Pacífica, todavía no cuentan con ese derecho para proteger legalmente sus tierras. En cuanto a los campesinos, exigen el cumplimiento de la Ley 160 de 1994, que les permitiría tener una organización territorial que respete su estilo de vida, además de las solicitudes para la constitución de Reservas Campesinas (ver mapa 1)20.

En uno de los momentos icónicos relacionados con la toma de la hacienda La Emperatriz, situada junto a la hacienda El Nilo (en donde grupos paramilitares, con la complicidad de la Fuerza Pública, asesinaron a 21 comuneros en el año 1991), surgió una disputa por la finca San Rafael, ubicada en la zona rural de Santander de Quilichao. Esta propiedad fue otorgada a los indígenas Nasa por el Ministerio de Agricultura como parte de la reparación por la masacre de El Nilo (Peñaranda, 2015). Sin embargo, parece que el ministerio adjudicó la finca sin consultar a todas las partes interesadas, a pesar de que la finca forma parte del territorio de un consejo comunitario afro. Este incidente provocó enfrentamientos violentos entre comunidades afro e indígenas en varias ocasiones, dejando cientos de heridos y algunos indígenas muertos (Ocoró & Oliveros, 2020). La pregunta subyacente es si eventos como este, en tensión con el marco regulatorio que promueve la diversidad étnica, intensifican la fragmentación o moderan la dinámica entre fragmentación y cohesión de las organizaciones étnicas.

ANÁLISIS DE RESULTADOS

Dentro del análisis centrado en las probabilidades de fragmentación y cohesión social al momento de generar acciones colectivas conjuntas entre grupos en condición de subordinación, los hallazgos se combinan con la evidencia histórica, explorando cercanías y distanciamientos de las comunidades negras e indígenas en relación con las luchas sociales de la época (Espinosa, B. 2014). Se nota que la fragmentación combinada de ambos grupos étnicos tuvo una ligera disminución entre 1996 y 1997, pero se recuperó y estabilizó al final del siglo pasado, sin embargo, por debajo de 0,5. Esto indicaría que menos del 50% de estos grupos se encuentra en el nivel más elevado de atomización, en donde cada unidad forma su propia entidad, multiplicándose en todas partes. Luego, se observa una marcada caída que lleva la trayectoria organizacional a casi unificar las entidades cerca de un valor de 0,2. Este patrón no parece deberse a un aumento en la cohesión, sino más bien al efecto de la violencia guerrillera y la intervención paramilitar que desalentó la formación de entidades nuevas en los primeros años del nuevo siglo. La posterior recuperación, impulsada por la revalorización global de los derechos humanos y la presión del partido demócrata de EEUU, dirigiría la tendencia hacia las 0,5 unidades, lo que indica un incremento en el fraccionamiento, no tan drástico como una total divergencia, pero con señales de que el 50% restante tiende a atomizarse (Ver Gráfica 1).

Es importante señalar que la proximidad a las elecciones de 2006 podría haber impulsado la formación de organizaciones en búsqueda de mejores posiciones de poder, así como ascensos económicos (García Sánchez & García Sánchez, 2016). De hecho, ese año se caracterizó por la realización de 154 elecciones atípicas, en las cuales, entre otros factores, se unificarían a cuatro años los mandatos de autoridades locales y regionales (Laurent, 2002).

Este fenómeno generó un efecto de diseminación, sin dejar de lado la posible formación de coaliciones convergentes, en línea con el movimiento de las sublevaciones campesinas surgidas tras el movimiento del Macizo Colombiano en 1999 (Barreto, 2018).

En el año de 1999, cerca de 15.000 campesinos, negros e indígenas bloquearon la vía Panamericana, que comunica la zona sur del país con el interior. El bloqueo duró 26 días, hasta que el gobierno del entonces presidente Andrés Pastrana cedió ante las peticiones y se comprometió con soluciones de fondo a las demandas de las organizaciones de base. Sin embargo, esas soluciones prometidas no se cumplieron. Resumiendo, en el contexto del índice de fragmentación, la escalada precedente de la confrontación armada, junto con la posterior incursión paramilitar, pudo haber reducido la aparición de este tipo de organizaciones, tendiendo a una unificación transitoria y desalentando la aparición de otras.

Esto es conforme con lo que la teoría económica denomina ciclo de negocios políticos. Durante tiempos de campañas electorales, se tiende a incrementar el gasto público y, por ende, a desplegar recursos para favorecer la creación de organizaciones al amparo de la inyección de recursos fiscales (Granger-Castaño, Hernández-Turca, Murcia-Bustos, & Yaya-Garzón, 2018). Cabe señalar que, durante el primer gobierno presidencial de Uribe Vélez (2002 - 2006), este tipo de fenómenos se exacerbó, junto con la escalada paramilitar, atomizando la organización étnica. En 2009 el indicador vuelve a caer, aumentando la fragmentación, aunque no alcanzó los niveles de 2002. Actualmente, los niveles de cohesión parecen crecer, manteniéndose en el escenario internacional. Es importante señalar que, hacia 2002, se fortaleció la creación de organizaciones afro en alrededor del 80%, mientras que en 1996 y 2009, la participación indígena se elevó en un 60% (ver gráfica 2). Finalmente, es relevante destacar que, aunque no aumentó el número de grupos étnicos, sí hubo variaciones en las organizaciones adscritas a cada uno.

Se puede deducir que la creación de la Asociación de Cabildos Indígenas del Norte del Cauca (ACIN) en 1996 probablemente causó un ligero remezón en los dos años siguientes. Esto se muestra en la gráfica 3 y podría explicarse por su separación del hegemónico Consejo Regional Indígena del Cauca (CRIC).

No obstante, es llamativo el crecimiento de las organizaciones tanto afro como indígenas entre 2001 y 2003. En los periodos previos a estas fechas, las organizaciones indígenas lideraron (como se muestra en la Gráfica 3), pero posteriormente las organizaciones afro comenzaron a ganar prominencia. Esto podría haber sido influenciado por las denuncias sobre violaciones de derechos humanos, que precedieron a la llegada de la administración Obama en EE.UU. en 2009. La priorización de este tema y las visitas de miembros del Congreso norteamericano al país podrían haber impulsado el empoderamiento de grupos como el Proceso de Comunidades Negras (PSC), centrados en la defensa de los territorios colectivos y en la consulta previa, contemplada en la Ley de Negritudes (Ley 70 de 1993). Este procedimiento exige considerar la opinión de estas minorías al formular y ejecutar planes, programas y proyectos en las zonas que les han sido asignadas constitucionalmente.

Se puede inferir que, a pesar del mayor crecimiento de las asociaciones afro sobre las indígenas, no es concluyente que las razones se deban únicamente a un efecto demostración o imitación de las organizaciones afro hacia las indígenas. Es evidente que los convenios de la OIT y la promulgación de la Ley 21 de 1991 brindaron un impulso exógeno a la dinámica asociativa étnica en el Cauca. Sin embargo, factores como la intensidad del conflicto armado, las coyunturas políticas regionales y el impacto de las acciones afirmativas relacionadas con el Tratado de Libre Comercio (TLC) con los Estados Unidos pudieron influir en ambos grupos de distinta manera. Un indicativo de esto es la persistencia de los niveles de fragmentación y una cohesión media organizativa, pero con tensiones en la disputa por tierras. Todo sugiere que, a pesar del aumento en fenómenos de marginación y del incumplimiento de los gobiernos nacionales, aún subsisten las divisiones y separaciones impuestas por las instituciones coloniales entre los grupos marginalizados. Si no se logra un progreso en el desempeño de las mesas interétnicas, es probable que se agudice la fragmentación y las disputas por la tierra en un contexto interracial.

DISCUSIÓN

Economistas y politólogos han comenzado a explorar cómo el conflicto y la posibilidad de confrontaciones impactan la distribución y desarrollo económico (Ginty & Williams, 2016). Según Robinson (2001), en la mayoría de estudios empíricos sobre este tema, los conflictos sociales y la inestabilidad política aumentan la inequidad, generando pobreza e incrementando las disputas. No obstante, a nivel teórico, los conflictos étnicos no han encajado fácilmente en los modelos analíticos tradicionales relacionados con los problemas y estudios de la sociología del cambio y desarrollo (Torres, 2001).

De acuerdo con Stavenhagen (1991), un grupo étnico es un grupo que se identifica y es reconocido por otros basándose en criterios étnicos, como el idioma, religión, tribu, nacionalidad o raza. Estos grupos comparten un sentimiento común de identidad. Así, un conflicto étnico surge cuando se utilizan diferencias étnicas para distinguir a los adversarios. Siguiendo esta argumentación, una alta diversidad étnica podría correlacionarse con altas probabilidades de segregación y conflictos (Ginty & Williams, 2016). Los sociólogos relacionan este fenómeno con la teoría de la constricción (Dietz & Engels, 2020; Putnam, 2007). En nuestro caso, la proliferación de organizaciones étnicas tiende a estabilizarse con el tiempo en un alto nivel, como el continente africano, que presenta alta volatilidad, aunque no se aproxima al máximo indicador de fragmentación. Ello pese a la crudeza del conflicto armado y todo tipo de violencias que azota esta parte del país, sumida en la falta de gobernanza, los enfrentamientos por la tierra y el legado del latifundismo y las instituciones coloniales.

CONCLUSIONES

El conflicto social puede ser una consecuencia, entre otras, de la diversidad étnica, conflictividad que puede ser exacerbada por las actuales dinámicas globales. Tradicionalmente, la teoría marxista ponía énfasis en la lucha de clases entre trabajadores y capitalistas; sin embargo, investigaciones más recientes evidencian una diversificación de los agrupamientos de clase, considerando aspectos tales como el género, el sexo, lo étnico y lo racial. Sin embargo, se observa que hacen falta más modelos teóricos y metodológicos que guíen la investigación sobre estos temas, especialmente en regiones apartadas como el departamento del Cauca, inmersas en disputas por el territorio. El desarrollo de marcos institucionales de acciones afirmativas, además de eventos externos tal como el surgimiento de gobiernos demócratas en los Estados Unidos (la administración de Barack Obama), la firma de tratados de libre comercio o reformas políticas como la descentralización político- administrativa, han propiciado el agravamiento de las tensiones interétnicas. Al frente externo habría que añadir factores internos como la "Ley Páez" (Ley 218 de 1996) que daba incentivos tributarios tras una avalancha del Río Páez que dejó más de un millar de muertos, la mayoría indígenas.

No obstante estos esfuerzos, persisten altos niveles de fragmentación étnica que contrastan con el incremento de asimetrías entre grupos étnicos en el departamento. Este panorama se vuelve aún más complejo por el conflicto armado persistente, el clientelistismo político y la persistencia de las estructuras institucionales heredadas de la colonia. Los enfrentamientos de los grupos en condición histórica de subordinación con la sociedad mayor no han conseguido alianzas sólidas entre los grupos subordinados, con el ánimo de aprovechar los canales institucionales para encauzar las demandas, problemas y necesidades compartidas.

A pesar de la instauración de mesas interétnicas e interculturales, que buscan paliar problemas compartidos, subsisten enfrentamientos entre los dos grupos étnicos principales, los que ahora se agudizan con las reclamaciones de campesinos que buscan un lugar frente a los "privilegios" de indígenas y afrodescendientes en aspectos tales como las "consultas previas" y zonas de aprovechamiento campesino, cuando se trata de intervenciones externas en sus territorios.

Dada la complejidad de estas tensiones, que involucran factores tanto endógenos como exógenos, es esencial avanzar en investigaciones futuras con enfoques mixtos, cualitativos y cuantitativos, ampliando los estudios regionales con estudios organizacionales que contemplen enfoques como el capital social estudios de gobernanza y los de la complejidad. Además, para superar las limitaciones informativas en un contexto crispado como el del departamento del Cauca, es necesario considerar el análisis de redes sociales (ARS), enriquecido por los avances topológicos en el campo de las matemáticas.


NOTAS

2 Los sucesos más recientes, ocurridos el 25 de septiembre de 2022, tuvieron lugar en la hacienda Chimán, predio localizado entre los municipios de Caloto y Guachené, Departamento del Cauca, en el resguardo indígena conocido como López Adentro. Allí, un grupo de indígenas incursionó con el objetivo de llevar a cabo lo que denominan "liberación de madre tierra". Esta acción consiste en la ocupación de predios explotados por la industria azucarera, los cuales consideran parte de su territorio ancestral. Por su parte, las comunidades afrodescendientes sostienen que adquirieron estas tierras después de la abolición de la esclavitud en 1851. La mayoría de estos terrenos se destinan al cultivo de la caña de azúcar, que posteriormente se vende a los principales ingenios de la región. Este conflicto armado dejó al menos siete heridos.
3 En 1950, la Asamblea General de las Naciones Unidas adoptó su primera resolución contra el régimen discriminatorio que obligaba a los grupos raciales originarios de África y a otros grupos étnicos establecidos allí, como resultado del colonialismo, a vivir separados de la población blanca. Desde entonces y durante más de cuatro décadas, se aprobaron numerosas resoluciones, se celebraron conferencias y se emprendieron acciones con el objetivo de desmantelar ese sistema racista.
4 Contrario al modelo de producción tradicional predominante, el enfoque agroecológico defiende la revitalización de la pequeña producción campesina. Este enfoque promueve la conservación y recuperación de semillas criollas, el fomento de trueques e intercambios, así como la priorización de mercados locales. Todo ello bajo la protección de la territorialidad y soberanía que los productores agroecológicos defienden, fortaleciendo su identidad y cultura en el proceso.
5 A pesar del extenso debate en los estudios de etnicidad acerca de la connotación lingüística, los contextos y espacios de enunciación de los términos "negro", "afrodescendiente" y "afrocolombiano", en este trabajo se utilizarán estos términos de manera intercambiable para referirse a los descendientes de la población africana.
6 La lucha de clases, impulsada por la desigualdad económica y la desproporción en la posesión de medios de producción, ha sido identificada como la principal causa del conflicto social en las sociedades industriales y semiindustriales. En cambio, en sociedades divididas étnicamente los conflictos pueden manifestarse de diversas formas. Además de las diferencias fácilmente perceptibles, como el lenguaje y el color de piel, las reivindicaciones etnoterritoriales pueden convertirse en un instrumento esencial para delinear y perpetuar desequilibrios estructurales, resultando en una disminución en la redistribución equitativa de recursos. Ejemplos claros de esto son las disputas que se observan en Costa de Marfil, Irak y Liberia durante las últimas tres décadas del siglo XX.
7 La etnicidad se puede fundamentar en aspectos comunes de la experiencia, construyendo una unidad a partir de las diferencias. De otra parte, la raza asume que la identidad del otro es fija y evidente. A diferencia de la raza, la etnicidad sitúa a las personas dentro de un contexto histórico y cultural específico.
8 Si bien este tema genera un amplio debate en el contexto de los estudios acerca de los conflictos globales, las teorías del Sistema-Mundo y sus interacciones microespaciales, en este trabajo no se desarrollará de manera amplia. En cambio, nos centraremos en el ámbito regional y territorial.
9 Esto por medio de su participación activa en lo relacionado a la colectividad para acrecentar el capital social y lograr el beneficio común.
10 La denominación de las comunidades afrodescendientes en Colombia ha dado también para juntarlas bajo la sigla NARP, que recoge a las comunidades negras, afrodescendientes, raizales y palenqueras.
11 La organización indígena en el Norte del Cauca tiene su núcleo fundamental o su unidad primordial en la institución del Cabildo; en todo el Cauca hay más de ochenta y en la zona norte hay trece.
12 En el norte del Cauca esto se concretó en el Plan Cuatrienal de Desarrollo de las Comunidades Indígenas del Nororiente del Cauca formulado en 1982 por la Gobernación y en el Plan de Desarrollo de la Corporación para la Reconstrucción y el Desarrollo del Departamento del Cauca (CRC), que incluyeron la consulta a los gobernadores indígenas y la inclusión de las propuestas presentadas por las comunidades.
13 De acuerdo con el Instituto Colombiano de Antropología e Historia (ICANH), el campesino es un sujeto intercultural que se autoreconoce como tal y no está necesariamente matriculado en una adscripción étnica. Además, está profundamente involucrado en el cultivo de la tierra y la naturaleza, junto con formas de organización social basadas en el trabajo familiar y comunitario no remunerado, y/o en la venta de su fuerza de trabajo. Originalmente, la mayoría de las organizaciones étnicas formaron parte de la ANUC (Asociación Nacional de Usuarios Campesinos de Colombia). Sin embargo, hacia la segunda década del siglo XX, los indígenas tomaron su propio rumbo, asumiendo puntualmente sus particularidades identitarias. De igual manera, los descendientes de africanos hicieron lo mismo hacia el final del mismo período.
14 En el Cauca la formación de una clase mestiza y media fue más lenta que en otras regiones.
15 En algunos casos, los hacendados, al no poder enfrentar la resistencia de las cuadrillas de negros organizadas para impedir los desalojos, optaban por repartir o vender tierras a negros manumisos.
16 En 1961, se aprobó una ley de reforma agraria que establecía la posibilidad de crear reservas indígenas. No obstante, hasta finales de los años 60, la postura del INCORA era favorable a la disolución de los resguardos, proceso que consideraban debía darse de manera voluntaria o a través del mismo proceso de modernización.
17 Los suelos que anteriormente pertenecían a las fincas de campesinos negros pasaron a formar parte de empresas capitalistas, lo que condujo a que muchos de estos campesinos quedaran desvinculados de la tierra. Al mismo tiempo, estos campesinos enfrentaban una crisis en la producción del cacao, causada tanto por enfermedades como por problemas técnicos para los cuales no encontraron soluciones.
18 En Colombia, este proceso comenzó con una serie de reformas institucionales, entre las cuales sobresale la elección popular de los alcaldes, implementada desde 1986 y celebrando su primera elección en 1988. El proyecto de reforma municipal bajo la administración Betancur se materializó con el Acto Legislativo N° 1 de 1986 (del 9 de enero). Esta reforma a la Constitución Política de Colombia se centró en la elección de alcaldes municipales. Más tarde, la Ley 11 de 1986 (del 16 de enero) estableció el Estatuto Básico de la Administración Municipal y promovió la participación comunitaria en la gestión de asuntos locales.
19 De esta iniciativa surge el Movimiento Unidos por Caloto, una alianza entre organizaciones negras y el cabildo indígena Huellas Caloto. Esta alianza alcanzó la alcaldía del municipio en el año 2000, e incluyó la participación del cristianismo evangélico y otras expresiones independientes.
20 Los casos se presentaron en predios como Los Naranjos en Cajibío, así como Mediecito la Selva, La Mota y Villa Carola, ubicados en el área rural de Popayán. A este respecto, el conflicto más urgente tuvo lugar en 2012, cuando se produjo un enfrentamiento entre comunidades campesinas e indígenas en el predio de Los Naranjos. Adicionalmente, se han reportado situaciones en el predio de San Rafael, al norte del departamento, involucrando a los indígenas Nasa del Cabildo de Toribio y a comunidades campesinas.


REFERENCIAS BIBLIOGRÁFICAS

Abierta, V. (2015). Afros, indígenas y campesinos construyen paz en el norte de Cauca. VerdadAbierta.com, [https://verdadabierta.com/afros-indigenas-y-campesinos-construyen-paz-en-el-norte-de-cauca/].

Acemoglu D, y Robinson, J. (2012). Why Nations Fail: The Origins of Power, Prosperity, and Porverty. CrownBusiness, [http://norayr.am/collections/books/Why-Nations-Fail-Daron-Acemoglu.pdf].

Alesina, A. y Ferrara, E. L. (2005). Ethnic Diversity and Economic Performance. Journal of Economic Literature, 43(3), 762-800.

Angulo, A. (1999). Moros en la costa: Vivencia afrocolombiana en la cultura colectiva. Bogotá: Docentes Editores.

Bandeira, P. (2009). Instituciones y desarrollo económico. Un marco conceptual. Revista de Economía Institucional, 11(20), 353-373.

Barreto, C. A. H. (2018). El Macizo Colombiano como territorio hidrosocial (1990-2018). Revista Controversia, 210, 205-242.

Barr, A. y Oduro, A. (2002). Ethnic fractionalization in African labour market. Journal of Development Economics, 68(2), 355-379.

Barth, F. (1976). Los grupos étnicos y sus fronteras. La organización social de las diferencias culturales. México DF.: Fondo de Cultura Económica.

Bartolomé, M. A. (2010). Interculturalidad y territorialidades confrontadas en América Latina. RUNA, XXXI(1), 9-29.

Bazuń, D. y Kwiatkowski, M. (2022). Exploratory walk and local cohesion—The concept and application. Mobilities, 17(4), 565-584.

Benard, S. (2012). Cohesion from Conflict Does Intergroup Conflict Motivate Intragroup Norm Enforcement and Support for Centralized Leadership? Social Psychology Quarterly, 75(2), 107-130.

Bresser-Pereira, L. C. (2017). La nueva teoría desarrollista: Una síntesis. Economía UNAM, 14(40), 48-66.

Cante, F. (2007). Acción colectiva, metapreferencias y emociones. Cuadernos de Economía, 26(47), 151-174.

Carlin, R. E., Gonzalez, R. et al. (2022). Ethnicity or Policy? The Conditioning of Intergroup Trust in the Context of Ethnic Conflict. Political Psychology, 43(2), 201-220.

Cederman, L.-E. (2018). La descentralización como estrategia para el posconflicto: El caso colombiano. En F. G. Sanín (ed.), ¿Qué hacer con el tierrero? Tierra, territorio y paz sostenible (pp. 65-88). Bogotá: Universidad del Rosario.

Chavance, B. (2018). La economía institucional. México DF.: Fondo de Cultura Económica.

Colomer, J. M. (2009). Ciencia de la política: Una introducción (1. ed). Barcelona: Ariel.

Copete, Y. A. M. (2016). La etnoeducación afrocolombiana: Conceptos, trabas, patriarcado y sexismo. A propósito de los 20 años de la Ley General de Educación 115 de 1994. Revista Historia de la Educación Latinoamericana, 18(27), 35-66.

Convers, P. (2018). Un sueño campesino en el Macizo Colombiano. Vice, [https://www.vice.com/es_latam/article/9k7gep/un-sueno-campesino-en-el-macizo-colombiano-revista-vice-utopia-distopia-comida-munchies]

Danto, E. A. (2000). Conflict vs. Cohesion. Employee Assistance Quarterly, 15(3), 1-14.

Díaz, F. F. (2017). El neoextractivismo y el neodesarrollismo en los contextos latinoamericano y colombiano. Revista Controversia, 208, 57-98.

Dietz, K. y Engels, B. (2020). Analysing land conflicts in times of global crises. Geoforum, 111, 208-217.

Duarte, C. (2013). Análisis de la posesión territorial y situaciones de tensión interétnica e intercultural en el departamento del Cauca. 163.

Duarte, C. (2015). Desencuentros Territoriales— La Emergencia de los Conflictos Interétnicos En El Cauca (Vol. 1). Bogotá: Instituto Colombiano de Antropología e Historia.

Easterly, W. y Levine, R. (1997). Africa's Growth Tragedy: Policies and Ethnic Divisions. Quarterly Journal of Economics, 112(4), 1203-1250.

Ellis, D. (2018). Building a theory of communication and ethnopolitical conflict. Communication Monographs, 86(1), 1-20.

Eriksen, T. H. (2018). El estatus epistemológico del concepto de etnicidad. Revista Antropologías del Sur, 5(10), 211-220.

Eslava, J. I., Ciappi, S. et al. (2016). Mediación social. Bogotá: Pontificia Universidad Javeriana.

Espinosa, B. A. (2014). Frames y Prácticas Discursivas entre Estado y poblaciones negras en Colombia: Racismo Estructural y Derechos Humanos. Universitas Humanística, 78(78), 307-330.

Esteban, J., Mayoral, L. y Ray, D. (2012). Ethnicity and Conflict: Theory and Facts. Science, 336(6083), 858-865.

Fearon, J. D. (2003). Ethnic and Cultural Diversity by Country. Journal of Economic Growth, 8(2), 195-222.

Fernández, M. L., Valdés, F. V. y Mora, Ó. C. (2021). Globalización Económica y Cohesión Social en América Latina. Intersticios Sociales, 22, 297-327

Finseraas, H., Hanson, T. et al. (2019). Trust, ethnic diversity, and personal contact: A field experiment. Journal of Public Economics, 173(C), 72-84.

Fryer, Jr., Roland, G. y Loury, G. C. (2005). Affirmative Action and Its Mythology. Journal of Economic Perspectives, 19(3), 147-162.

García-Sánchez, M. (2016). Control territorial y decisión de voto en Colombia. Un enfoque multinivel. Política y gobierno, 23(1), 57-95.

Ghosh, S. y Mitra, A. (2022). Ethnic identities, public spending and political regimes. Journal of Comparative Economics, 50(1), 256-279.

Ginty, R. M. y Williams, A. (2016). Conflict and Development. Nueva York: Routledge.

Góngora-Mera, M., Vera-Santos, R. et al. (2019). Entre el Atlántico y el Pacífico Negro. Afrodescendencia y regímenes de desigualdad en Sudamérica. Madrid: Iberoamericana Editorial Vervuert, S.L.

González-Gómez, G. (2022). La izquierda colombiana. Foreign Affairs Latinoamérica, 2.

Granger-Castaño, C., Hernández-Turca, Y. et al. (2018). Ciclo político en las finanzas de los gobiernos regionales de Colombia 1998-2014. Borradores de Economía, 1044, 2-28.

Granovetter, M. (1992). Economic Institutions as Social Constructions: A Framework for Analysis. Acta Sociologica, 35(1), 3-11.

Hodgson, G. M. (2011). ¿Qué son las instituciones? Revista CS, 8, 17-53.

King, E. y Samii, C. (2018). Minorities and mistrust: On the adoption of ethnic recognition to manage conflict. Journal of Peace Research, 55(3), 289-304.

Kolb, W. L. (1954). The Nature of Prejudice. Social Forces, 33(1), 90-91.

Laurent, V. (2002). Movimiento indígena y retos electorales en Colombia: regreso de lo indio para una apuesta nacional. Revista Colombiana de Antropología, 38, 161-188.

Meador, J. E. y Skerratt, S. (2017). On a unified theory of development: New institutional economics & the charismatic leader. Journal of Rural Studies, 53, 144-155.

Moore, A. (2016). Ethno-Territoriality and Ethnic Conflict. Geographical Review, 106(1), 92-108.

Moreno, R. (2005). Movimientos étnicos en el norte del Cauca, una aproximación a sus diferencias y relaciones. Buenos Aires: CLACSO.

Mosquera Rosero-Labbé, C., León Díaz, R. E. et al. (eds.), (2009). Acciones afirmativas y ciudadanía diferenciada étnico-racial negra, afrocolombiana, palenquera y raizal: Entre bicentenarios de las independencias y Constitución de 1991 (1. ed). Bogotá: Universidad Nacional de Colombia.

Ocoró, L. y Oliveros, R. A. (2020). El papel del Estado, como garante de derechos en los conflictos etnico -territoriales en el norte del departamento del cauca, "caso hacienda San Rafael", vereda mazamorrero-municipio de Santander de Quilichao. [Tesis de Pregrado en Trabajo Social]. Universidad Santiago de Cali.

Ospina, D. T. (2015). Impactos de la racionalidad multicultural: Conflictividad interétnica en el norte del Cauca. Revista controversia, 205, 66-94.

Peñaranda, D. R. (2015). Guerra propia, guerra ajena. Guerra propia, guerra ajena Conflictos armados y reconstrucción identitaria en los Andes colombianos El Movimiento Armado Quintín Lame. Bogotá: Centro Nacional de memoria histórica, Universidad nacional de colombia.

Portes, A. (2006). Instituciones y desarrollo: Una revisión conceptual. Cuadernos de Economía, 25(45), 14-52.

Putnam, R. D. (2007). E Pluribus Unum: Diversity and Community in the Twenty-first Century The 2006 Johan Skytte Prize Lecture. Scandinavian Political Studies, 30(2), 137-174.

Puyana Mutis, A. (2017). El retorno al extractivismo en América Latina. ¿Ruptura o profundización del modelo de economía liberal y por qué ahora? Espiral (Guadalajara), 24, 73-113.

Rangel, M. (2016). Políticas públicas para afrodescendientes: Marco institucional en el Brasil, Colombia, el Ecuador y el Perú. México DF.: CEPAL.

Rapaport, B. y Ireland, V. (2012). Understanding the Dynamics of System-of-Systems in Complex Regional Conflicts. Procedia Computer Science, 12, 43-48.

Rincón García, J. J. (2009). Diversos y comunes: Elementos constitutivos del conflicto entre comunidades indígenas, campesinas y afrocolombianas en el departamento del Cauca. Análisis Político, 22(65), 53-93.

Robinson, J. A. (2001). Social identity, inequality and conflict. Economics of Governance, 2(1), 85-99.

Sánchez, R. (2020). Relato de la guerra en el Cauca. Bogotá: Friedrich Ebert Stiftung.

Stavenhagen, R. (1991). Los conflictos étnicos y sus repercusiones en la sociedad internacional. Revista Internacional de Ciencias Sociales, 157, 131-155.

Svetelj, T. (2018). Philosophy of interculturality: Philosophy of humanism for our time. Social Identities, 24(3), 395-402.

Torres, J. L. (2001). Conflicto étnico, democracia y estado. Iconos. Revista de Ciencias Sociales, 10, 48-56.

Vanegas L, J., Villalón C, M. et al. (2008). Consideraciones acerca del uso de la variable etnia/raza en investigación epidemiológica para la Salud Pública: A propósito de investigaciones en inequidades. Revista médica de Chile, 136(5), 637-644.

Vega-Cantor, R. y Gutierrez-Danton, J. A. (2018). De la esclavitud a la Violencia. En R. Vega-Cantor y J. A. Gutiérrez-Danton (eds.), Siempre de pie, nunca rendidos: Los corteros de caña de azucar en el valle del Cauca, presencia y luchas (1860-2015). Bogotá: Ediciones desde abajo.

Vélez-Torres, I. (2018). Una mirada histórica y socio-ambiental para repensar y renombrar los conflictos entre comunidades étnicas del Alto Cauca, Colombia. El Ágora U.S.B., 18(1), 38-54.

Wade, P. (2011). Multiculturalismo y racismo. Revista Colombiana de Antropología, 47(2), 15-35.