Valoración no lineal de derivados financieros en mercados con liquidez estocástica, descrita por un proceso de reversión a la media

Nonlinear valuation of financial derivatives in markets with stochastic liquidity described by a mean-reversion process

John Sebastián Tavera Ramírez* John Freddy Moreno Trujillo**

* Magíster en Finanzas. Quantitative Risk Model Validator. ing Hubs Poland, Varsovia (Polonia). [sebastian.tavera@yahoo.com], [orcid id: 0009-0009-7376-5083].
** Candidato a Doctor en Ciencias Económicas; magíster en Matemática Aplicada. Docente-Investigador, Observatorio de Economía y Operaciones Numéricas (ODEON), Universidad Externado de Colombia, Bogotá (Colombia). [jhon.moreno@uexternado.edu.co], [orcid id: 0000-0002-2772-6931].

Para citar este artículo: Tavera Ramírez, J. S. y Moreno Trujillo, J. F. (2024). Valoración no lineal de derivados financieros en mercados con liquidez estocástica descrita por un proceso de reversión media. Odeon, 26, 29-54. doi: https://doi.org/10.18601/17941113.n26.03

Artículo recibido: 15 de marzo de 2024. Aceptado: 10 de junio de 2024.


Resumen

En este documento se deduce la ecuación diferencial parcial no lineal de valoración de un derivado financiero, esto en el contexto de un mercado en el cual los precios de los activos son influenciados por la liquidez y las estrategias dinámicas de negociación de un gran operador. Para esto se caracteriza la dinámica del precio del activo subyacente y se considera la condición de ausencia de arbitraje. La liquidez del mercado es estocástica y sigue un proceso con reversión a la media tipo Ornstein-Uhlenbeck.

Palabras clave: mercados ilíquidos; ecuación no lineal de Black-Scholes; efectos de retroalimentación; gran operador; proceso Ornstein-Uhlenbeck; valoración de derivados.

Clasificación JEL: C02, C65, G10, G12.


Abstract

This document deduces the nonlinear partial differential equation for pricing a financial derivative, within the context of a market where asset prices are influenced by liquidity and the dynamic trading strategies of a large trader. The dynamics of the underlying asset price are characterized, and the absence of arbitrage condition is considered. Market liquidity is stochastic and follows a mean-reverting Ornstein-Uhlenbeck process.

Key words: Illiquid markets; nonlinear Black-Scholes equation; feedback effects; large trader; Ornstein-Uhlenbeck process; derivative valuation.

JEL classification: C02, C65, G10, G12.


Introducción

Desde el punto de vista regulatorio, los mercados de capitales gozaron de una considerable libertad a finales del siglo XX y comienzos del siglo XXI, situación que puso en evidencia múltiples fallas de mercado, reflejadas en eventos como la profunda crisis de liquidez que se desató con la recesión económica de 2008. Buena parte del carácter global de esta y otras crisis económicas, como el lunes negro (1987), la crisis asiática (1997), la crisis rusa (1998), y el colapso del fondo LTCM (Long-Term Capital Management), está asociada a la creciente interdependencia entre los mercados de capitales de las economías del mundo. Esta perspectiva transnacional muestra la importancia de contribuir a la estabilidad del sistema financiero global, cuya sostenibilidad depende de las instituciones que participan en él. Buscando este objetivo, un camino que cobra relevancia desde el punto de vista cuantitativo es tratar de mitigar la probabilidad de que estas instituciones incurran en pérdidas por riesgos inesperados o no capturados, que se materializan cuando los modelos financieros que utilizan para valorar y gestionar el riesgo de los activos que negocian no son validos en la práctica.

A pesar de sus limitaciones, el modelo estándar de Black-Scholes sigue siendo uno de los esquemas de valoración de derivados más utilizados por los participantes del mercado financiero. Una de las limitantes de este modelo es suponer que los mercados son perfectamente líquidos, es decir, asumir que el tamaño del monto negociado de un activo no repercute en su precio, lo que no se valida empííricamente. En este trabajo se elimina este supuesto al considerar un modelo de mercado donde la liquidez se incorpora como un factor estocástico que afecta directamente el precio de los activos. También se caracterizan las estrategias de negociación de un "gran operador", cuyo volumen de participación puede afectar los precios del mercado. Se extienden trabajos anteriores desarrollados en esta misma línea temática al incorporar un factor de liquidez que sigue una dinámica de reversión a la media descrita por un proceso de tipo Ornstein-Uhlenbeck, y se aporta a la literatura al encontrar las condiciones de no arbitraje asociadas y establecer la ecuación diferencial parcial de valoración correspondiente.

El resultado de esta investigación complementa y se incorpora directamente a los trabajos de Frey y Patie (2002), Frey y Polte (2011), Bordag y Frey (2008) y Moreno Trujillo (2020), y el esquema propuesto permite caracterizar la relación entre la dinámica del proceso de precios del activo subyacente, las estrategias de negociación y la dinámica del proceso de liquidez. Además, la obtención de la ecuación diferencial parcial de valoración permite el contraste con otros modelos de liquidez imperfecta.

El documento tiene la siguiente estructura. En la primera sección se describe al gran operador presente en el modelo de mercado y se caracteriza su estrategia de negociación. En la segunda sección se describe el modelo liquidez determinística propuesto por Frey (2000) con sus principales resultados extendidos al caso de tendencia no cero. La tercera sección presenta el trabajo de Monch (2005) que motiva la selección de un modelo estocástico para al liquidez. La cuarta seccion justifica la selección de un proceso Ornstein-Uhlenbeck para la modelación de la liquidez y establece las principales carácterística de este tipo de proceso. En la quinta sección se presenta y desarrolla el modelo de mercado con liquidez estocástica descrita por un proceso Ornstein-Uhlenbeck, caracterizando la dinámica de los precios y las condiciones de no arbitraje en este caso. En la sexta sección se establece al ecuación diferencial parcial no lineal de valoración correspondiente a este modelo de mercado. En la séptima y última sección se presentan algunas conclusiones y extensiones.

1. El gran operador y su estrategia dinámica de negociación

En un mercado financiero con liquidez perfecta se puede replicar el precio de cierto activo derivado negociando de manera activa un portafolio conformado por el activo subyacente y dinero en efectivo. Encontrar dicha estrategia de negociación dinámica es el paso esencial para llegar a las ecuaciones de valoración más conocidas como, por ejemplo, las ecuaciones de valoración de opciones del modelo Black-Scholes (véase Trujillo [2022] para su derivación). En este trabajo se considera el mismo procedimiento de replicación en mercados financieros con estrategias dinámicas de negociación, Φ(t, St), es decir, estrategias que determinan el número de unidades del activo subyacente que se deben tener como una función del tiempo t y el precio del activo St. Las estrategias dinámicas de negociación de este tipo tienen una importancia central en la teoría de valoración y son populares en la práctica financiera. Los coberturistas las usan para cubrir el riesgo de sus exposiciones, los arbitradores para explotar las diferencias en precios del mercado de derivados y los inversores para crear portafolios sintéticos que reproduzcan un perfil de pagos que se ajuste a sus necesidades. Además del campo de coberturas y valoración, los administradores de portafolio de la industria de seguros utilizan estrategias dinámicas de negociación para cubrirse en contra de movimientos adversos en los precios. De igual forma se aplican en el análisis de inversiones para maximizar la utilidad esperada de estrategias de inversión.

Al relajar el supuesto de liquidez perfecta del modelo Black-Scholes (BS), asumiendo que no todos los agentes del mercado son tomadores de precios, es necesario estudiar el efecto de sus estrategias de negociación sobre los precios de los activos dado que, en este caso, cualquier cantidad negociada del activo que subyace a la estrategia puede afectar sus precios y volatilidad en el mercado. En la literatura que estudia la interacción entre la liquidez y las estrategias de negociación de un gran operador, dos aproximaciones son prominentes. En la primera, se considera un modelo de equilibrio general donde se deriva el proceso de precios del subyacente después de tomar en cuenta la oferta y demanda agregada por el mismo y la estrategia de negociación de los agentes. Algunos ejemplos de esta aproximación son los trabajos de Frey y Stremme (1997), Platen y Schweizer (1998), Ronnie Sircar y Papanicolaou (1998) y Wilmott y Schönbucher (2000), en los cuales el impacto de la negociación sobre los precios y la liquidez del mercado se obtienen de manera endógena. En la segunda aproximación, se plantea la liquidez como una fuente de riesgo obtenida de manera exógena, véase Cvitanić y Ma (1996).

En la práctica, la tarea de selección y estimación de las funciones de oferta y demanda de los modelos de equilibrio es ardua, debido a la subjetividad en el proceso de definición de funciones que representen las expectativas de los agentes, así como la precaria disponibilidad y el alto costo de la información de mercado necesaria para calibrarlas. Además, las restricciones sobre la especificación de estas funciones supone un problema adicional desde el punto de vista de la interpretación de su sentido económico. Esto requiere especificar la información de los agentes en la economía, sus motivos para operar, su aprendizaje y formación de expectativas. Por otro lado, desde la perspectiva del funcionamiento del mercado financiero, es un hecho que los inversores son sensibles a la prima de liquidez asociada con sus inversiones y, por lo general, tienden a liquidar su posición en un activo si su iliquidez excede cierto límite. Así, intuitivamente, a medida que la profundidad del mercado de un activo se contraiga, es decir, aumente su iliquidez, será cada vez menos atractivo poseer el activo puesto que también aumenta el riesgo de materializar una pérdida ante la creciente incapacidad de liquidarlo. Por lo tanto, es útil plantear un modelo que capture explícitamente el nivel de liquidez en los precios del activo.

En este trabajo se asume que existe un gran agente inversor, arbitrador o especulador en el mercado y que se denominará gran operador. Este agente no es precio-aceptante o tomador de precios, por el contrario, influencia los precios de mercado, puesto que su tamaño o volumen de negociación es grande comparado con el volumen de órdenes de participantes del mercado que son tomadores de precios o porque la otra parte del mercado cree (con algun nivel de probabilidad), que el gran operador tiene información superior. El gran operador puede ser una única institución grande o puede pensarse como una coalición de operadores actuando conjuntamente. Un gran operador es un agente con los recursos suficientes para que valga la pena tener en cuenta el efecto del volumen de sus operaciones en el mercado y suele predominar en mercados pequeños. Además, un gran operador puede tener un efecto significativo en los precios y, por tanto, podría preferir escoger una estrategia de negociación que tenga en cuenta el impacto en los precios de su propio comportamiento. Así pues, es razonable desarrollar un modelo que contenga un gran operador, que describa un mercado con una fuente de riesgo de liquidez exógena y analizar las consecuencias de sus acciones en los precios.

2. El modelo con liquidez determinística

En el trabajo de Frey (2000) se propone un mercado con un activo riesgoso (normalmente una acción o un índice sobre acciones) que por simplicidad se denominará simplemente activo, y una inversión libre de riesgo con tasa de interés cero llamada el bono. Se asume al bono como activo numerario y a su mercado con elasticidad perfecta, es decir, las compras o ventas del bono en cantidades arbitrarias no afectan su precio. El precio del activo, en unidades del numerario, está modelado como un proceso estocástico {St}t≥0 sobre un espacio de probabilidad filtrado .

Existe un único gran operador, inversor o coberturista cuya actividad influencia el proceso de precio del activo subyacente. Este agente busca, a traveís de una estrategia de negotiación dinámica, replicar un derivado pactado sobre el activo y con vencimiento en T. Se modela directamente la dinómica de precios que resulta si el gran operador escoge una estrategia de negociación del activo . Agregando la deriva, es decir, haciendo μt ≠ 0, para ser más general comparado con Frey (2000), el proceso de precios de la acción está descrito por la ecuación diferencial estocástica (EDE):

donde μt es una función continua del tiempo, {Wt(S)}t≥ 0 es un movimiento Browniano estándar asociada al activo subyacente y definido sobre el espacio de probabilidad filtrado. St- denota el límite por la izquierda, limu→t - Su. Con Φ se representa el número de unidades del activo en poder del gran operador y Φ+ denota la versión continua por la derecha de este proceso, limu→t + Φu. La constante σ > 0 representa la volatilidad del subyacente, y el parámetro p ≥ 0 (el parámetro de liquidez constante del mercado) se asocia con el nivel de iliquidez. Dado que un aumento en p significa que la liquidez se contrae, 1/(pSt) mide la profundidad del mercado en t, es decir, el tamaño de la variación en la posición en activo que mueve al precio en una unidad. Si el gran operador no negocia, Φ ≡ 0, o si p = 0, se llega al modelo estándar BS con deriva μ y volatilidad σ. Los saltos a la baja de la estrategia de negociación estan acotados por ΔΦt(+):= Φt(+) - Φt > -1/ con > 0 y 0 ≤ p < para asegurar la no-negatividad del precio de la acción.

Para simplificar la notación se cambia el subíndice t- por t para S y se omite el superíndice (+) para Φ, esto es posible dado que Φ(t, St) ∈ C1,2. Por el lema de Itô tenemos que y reemplazando en (1) se tiene el siguiente resultado.

Teorema 1. Suponga que el gran operador usa una estrategia de negociación dada por Φ(t, St) ∈ C1,2 y además que < 1 para todo t, entonces para dos funciones b y ν la EDE (1) satisface

donde:

El teorema anterior caracteriza la dinámica del precio del activo riesgoso y su volatilidad asumiendo que la estrategia de negociación del gran operador esta dada por una función suave Φ(t, St). Se observa el efecto de retroalimentación de la estrategia dinámica del gran operador sobre la volatilidad, la cual, debido a la actividad de negociación del gran operador, se transforma de una volatilidad constante σ en una volatilidad dependiente de t y St. Si la estrategia del gran operador sugiere comprar mas del activo ante alzas del precio, > 0, entonces v(t, St) > σ, es decir, para este tipo de estrategia se tiene un efecto desestabilizador porque se refuerza el efecto de los precios subiendo o cayendo. Por otro lado, si < 0 entonces v(t, St) < σ.

La figura 1 muestra la simulación de cincuenta posibles trayectorias del precio, simuladas a partir del esquema descrito por las ecuaciones presentadas en el teorema anterior. Para estas simulaciones se considera una estrategia de negociación dinámica Φ(t, St) = θ0e-θ1tSt-θ2, que es la forma general considerada por Merton y Samuelson (1992), y aproximación de Euler sobre las EDE descritas. En particular, se simulan las trayectorias para el caso > 0.

En la figura 2 se muestra la simulación de cincuenta posibles trayectorias del precio considerando < 0.

En trabajos posteriores, Frey y Patie (2002) generalizan el modelo de Frey (2000) considerando la liquidez como una función continua dependiente del precio p(St), y estudian numéricamente su impacto sobre el costo de cobertura y las sensibilidades de opciones europeas.

3. El modelo con liquidez estocástica

En el trabajo de Mönch (2005) se generaliza el modelo de liquidez constante de Frey (2000) y la extensión de Frey y Patie (2002), modelando la liquidez como un factor estocástico independiente del nivel de precios. En este caso, las estrategias de negociación del gran operador dependen del precio del activo riesgoso y de este factor de liquidez.

En este caso, el proceso de precios del activo riesgoso está descrito por la EDE:

donde pt es un proceso estocástico continuo cuya dinámica sigue la ecuación:

con dWt(S) dWt(p) = γdt para un γ arbitrario y constante. Reescribiendo las dinámicas en (5) y (6) considerando la descomposición de Cholesky de la matriz de correlación, se obtiene:

siendo W y dos movimientos Brownianos estándar independientes. Considerando una estrategia de negociación del activo Φ Ξ Φ(t, St,pt) ∈ C1,2,2 ([0,T] > ) sobre la cual se aplica el lema de Itô y se reemplaza en (7) para obtener el siguiente resultado.

Teorema 2. Suponga que el gran operador usa una estrategia de negociación dada por Φ(t, St,pt) ∈ C1,2,2 y además que pS < 1 para todo t, entonces la solución al sistema de ecuaciones diferenciales estocásticas (7) y (8) satisface:

donde:

La volatilidad instantánea total vtot es igual a:

La correlación instantánea corrS,p entre los procesos St y pt está dada por:

Este teorema representa el proceso de precio bajo el modelo de liquidez estocástica. Aquí se describe el efecto de la estrategia dinámica del gran operador sobre las volatilidades instantáneas de los procesos de precios. También se describe la volatilidad total vtot y la correlación entre el proceso de precio y el de liquidez.

4. Liquidez estocástica descrita como un proceso Ornstein-Uhlenbeck

Aunque no existe un consenso sobre la manera más adecuada de representar la liquidez, la literatura ha adoptado un amplio rango de medidas para representarla, y los efectos de hacerlo han generado resultados distintos (vease Aitken y Comerton-Forde (2003)). La adopción de un proceso estocástico de reversión a la media para representar la liquidez evita tener sobredependencia de cualquier medida en particular. Por tanto, para tener mayor objetividad y consistencia entre estudios, en este trabajo se modela la liquidez de manera estocástica descrita mediante un proceso con reversión. Un ejemplo relevante de este tipo de modelación es el trabajo de Feng et al. (2014), que asumen que la liquidez como un proceso estocástico de reversión a la media, a la vez que desarrollan un modelo de valoración de opciones usando esta especificación generalizada.

En el presente trabajo, la noción de liquidez se entiende como la liquidez específica de un activo, no una liquidez agregada. Se toma como proxy de la liquidez la medida propuesta por Amihud (2002), que también es empleada por Brunetti y Caldarera (2004) y Feng et al. (2014). Esta medida puede estimarse como el retorno de un activo riesgoso, en general, una acción o índice de mercado, dividido por su volumen negociado. Como ejemplo, en la figura 3 se observa como el comportamiento de la liquidez del índice accionario S&P 500 fluctua de manera estocástica alrededor de una media.

Un proceso estocástico que captura el comportamiento aquí observado de la liquidez, y que es ampliamente usado en otras aplicaciones en finanzas y otros campos del conocimiento es el proceso de reversión a la media Ornstein-Uhlenbeck (OU). En el campo de modelos de volatilidad estocástica, algunos trabajos como Stein y Stein (1991), Schöbel y Zhu (1999), Zhu (2013) y Barndorff-Nielsen y Shephard (2001) utilizan este tipo de proceso para modelar la dinámica estocástica de reversión a la media observada en la volatilidad del precio de activos riesgosos y estudiar su impacto en el precio de opciones. Más adelante, en el campo de estudio del impacto de la liquidez sobre los precios y las estrategias de negociación de los agentes del mercado, Mönch (2005) sugiere la especificación de la dinámica de la liquidez como un proceso estocástico de reversión a la media. Siguiendo esta línea de desarrollo, en este trabajo se modela la liquidez de manera estocástica e independiente del nivel de precios. No obstante, aquí el parámetro de liquidez específico del activo riesgoso es gobernado por un proceso estocástico de reversión a la media de tipo OU.

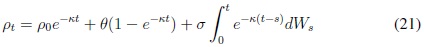
De acuerdo con lo anterior, se considera que la liquidez instantanea pt puede describirse como

donde {Wt}t≥0 es un movimiento Browniano referente a los choques aleatorios sobre la liquidez; κ es la velocidad de reversión a la media de la liquidez; θ es el valor de equilibrio o nivel de media al que tiende la liquidez en el largo plazo y σ es el nivel de volatilidad o magnitud promedio de los choques aleatorios de la liquidez. La EDE (16) puede ser resuelta por el método del factor integrante. Expresando la ecuación de la siguiente manera:

y multiplicando ambos lados de la ecuación (17) por el factor integrante definido como eKt, se tiene:

Por la regla del producto se reescribe (18) como

Integrando ambos lados de (19) desde 0 a t,

La solución a la EDE (16) que define el proceso OU para 0 ≤ s ≤ t es entonces:

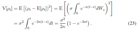
asumiendo p0 constante. Para cualquier s y t fijos, la variable aleatoria pt, condicional a ps, se distribuye normal con media:

y varianza que resulta, por isometría, en:

5. Modelo con liquidez estocástica Ornstein-Uhlenbeck

En esta sección se describe la dinámica del precio de un activo riesgoso incorporando un factor de liquidez estocástico descrito como un proceso de reversión a la media OU. Luego se establece la relación entre el proceso de precio del activo riesgoso y la dinámica de la liquidez. Por último, se identificará la condición de no arbitraje dentro del modelo para establecer una ecuación diferencial parcial (EDP) de valoración de un derivado financiero pactado sobre el activo riesgoso.

5.1. Dinámica de precios

Partimos de considerar que el proceso de precios satisface la EDE:

y que la dinámica de p está dada por el proceso de reversión a la media OU descrito en la sección anterior:

con

para un valor de γ arbitrario pero constante; p es el parámetro de liquidez y 1/(ptSt) mide la profundidad del mercado en t. La velocidad de reversión a la media de la liquidez es k> 0, el nivel medio de largo plazo de la liquidez es κ, y el nivel de volatilidad de la liquidez es , los las cuales se toman como constantes. Se asume que el proceso permanece estrictamente positivo para p0 > 0. Para garantizar que el precio del activo riesgoso es estrictamente positivo en todo momento, se asume que p está acotado por arriba con una barrera , es decir, p ≤ , tal que, t(+) > -1. Reescribiendo la dinámica usando la descomposición de Cholesky (Trujillo, 2022), se tiene:

donde Wt y t movimientos Brownianos estándar independientes y una estrategia de negociación suave Φ Ξ Φ(t, St, pt) ∈ C1,2,2([0,T] x ). Aplicando el lema de Itô a Φ(t, St, pt) resulta:

Reemplazando (29) en (27) y sustituyendo dpt por (28) se tiene,

asumiendo que ptSt < 1. Usando la solución de prueba:

y comparando los coeficientes se llega al siguiente resultado.

Teorema 3. Suponga que el gran operador usa una estrategia de negociación dada por Φ(t, St, pt) ∈ C1,2,2 y además que pS < 1 para todo t. Entonces la solución al sistema de ecuaciones diferenciales estocásticas (27) y (28) satisface:

donde:

Dado que:

la variación cuadrática es:

y

Si Φ ≠ 0 y p ≠ 0 la estrategia de negociación del gran operador tiene un efecto sobre las volatilidades instantáneas υ y así como en la volatilidad total y la correlación entre los dos procesos.

Con p Ξ 0 o Φ Ξ constante se llega al modelo clásico de BS con deriva μ. Asumiendo el mercado perfectamente líquido, es decir, pt = 0, tenemos que los coeficientes de la ecuación 32 resultan en:

con lo cual llegamos al escenario clásico de BS donde la dinámica de precios del activo riesgoso está dada por

Hay dos tipos básicos de estrategias de negociación por considerar. Por un lado, el gran operador puede usar una estrategia de retroalimentación positiva, es decir, > 0. Esto significa comprar el activo riesgoso cuando su precio está subiendo o venderlo cuando su precio cae. Por otro lado, una estrategia de retroalimentacion contraria, es decir, < 0, supone comprar el activo riesgoso cuando se deprecie y viceversa. A mayor iliquidez en el mercado, el gran operador tendrá una menor posición sobre del activo riesgoso debido a límites internos o regulación externa, sin importar si este considera una estrategia de retroalimentación positiva o contraria. Esto sucede por ejemplo, con una institución gubernamental o un fondo de inversión colectiva que solo tiene permitido invertir en acciones que son parte de un índice altamente líquido.

Con ≠ 0 y p > 0, cuanto mas ilíquido se torne el mercado, más querrá cerrar su posición el gran operador, es decir, vender las posiciones largas y comprar las cortas. En el primer caso, empezando con un 0 positivo, Φ es monótonamente decreciente en p. En el segundo caso, comenzando con un Φ negativo, Φ es monótonamente creciente en p. Por consiguiente, a medida que p tiende a infinito Φ se está acercando a cero en valor absoluto (la posición del gran operador se ha cerrado casi completamente).

En el caso de que la liquidez no tenga impacto sobre la estrategia de negociación del gran operador, Ξ 0, desaparecen y el segundo sumando de υ. Bajo este escenario se llega a una aproximación del escenario determinístico de Frey (2000), donde el efecto de retroalimentación se incorpora a través de pS. La diferencia radica en la aleatoriedad de p, lo que supone que la sensibilidad del precio del activo riesgoso sobre la actividad de negociación del gran operador no es constante.

En adelante se asume que Φ -el número de acciones en la posición del gran operador- es positivo tal que es negativo sin importar que la estrategia de negociación sea de retroalimentación positiva o contraria. La volatilidad instantánea total υtot es igual a

La covariación instantánea corrS,p entre los procesos St y pt está dada por:

El argumento de la raíz cuadrada es no-negativo dado que |≤ 1. Además, puede verse que si γ Ξ 0 implica que υ < υtot, < 0 y no implica que los procesos estén no-correlacionados. Mas aun, no puede alcanzarse corrSp = 0 para una elección determinística de γ. Se alcanza solo si γ = -, en los casos de un p determinístico y γ = 0, o si para γ = 0 se considera una estrategia de negociación independiente de p, es decir, para Ξ 0. Por otro lado, corrS,p = ±1 no se alcanza con γ = ±1 sino con γ = .

Asumiendo liquidez perfecta, pt = 0, se llega al escenario clásico de BS. La volatilidad y correlación instantáneas resultan en:

La volatilidad total en (44) es una función decreciente en γ, puesto que < 0, mientras que el parámetro de correlación en (47) es una función creciente de γ. Para una estrategia de retroalimentación positiva se satisface que la volatilidad total

La expresión a la derecha de la desigualdad es mayor o igual a a (numerador de la volatilidad total en el caso de Frey [2000], véase la expresión [4]) sí y solo sí . Además, la volatilidad instantánea υtot es mayor a σ (volatilidad en BS) para γ ≤ 0. Para una estrategia de retroalimentación contraria se cumple que:

que es menor o igual a σ sí y solo sí . Entonces, también para γ ≤ 0 la volatilidad instantánea utot es mayor a σ (volatilidad en BS).

5.2. Condición de no arbitraje

Ahora se considera el escenario en el que el gran operador quiere replicar o cubrir un derivado financiero V Ξ V(t, St) con vencimiento en T > 0 y pago V(T, ST) = h(ST) donde el precio de su activo subyacente sigue la dinámica establecida por la EDE (31).

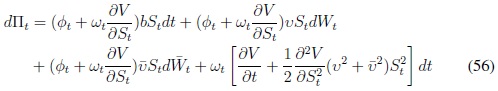
Para alcanzar su objetivo, el gran operador constituye una estrategia dinámica de negociación autofinanciada, Πt, con un activo riesgoso St y un derivado V. La estrategia Πt esta dada por un par (Φtt) de procesos adaptados con Φt y ωt denotando respectivamente las unidades del activo riesgoso y el derivado en el portafolio en el tiempo t.

El cambio marginal del portafolio está dado por

donde dV(t, St) se encuentra al aplicar el lema de Itô

Reemplazando dSt por (31) con b Ξ b(t, St, pt), υ Ξ υ(t, St, pt) y Ξ (t, St, pt) se tiene:

Organizando términos se tiene:

Entonces, utilizando (31) y (54) en (51), la dinámica del portafolio, dΠt, es:

Realizando las operaciones y reagrupando términos podemos reescribir la ecuación (55) de la forma:

Para eliminar el riesgo proveniente del Browniano bidimensional (W, ) basta con lograr que . Las combinaciones (Φt, ωt) que hacen esto posible son infinitas, así que en particular se considera la estrategia de cobertura delta (Φt, ωt) = logrando que (56) resulte en:

En ausencia de arbitraje, la dinamica del portafolio resultante sin riesgo (57) debería ser equivalente al cambio marginal del portafolio inicial que renta a la tasa libre de riesgo, rf, en un intervalo de tiempo dt, esto es,

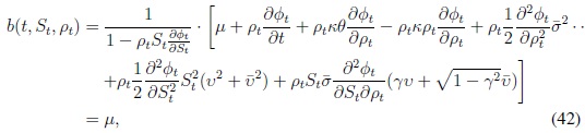
6. Ecuación diferencial parcial no lineal

Tomando en consideración la condición de no arbitraje derivada en la sección anterior, se igualan los cambios marginales del portafolio libre de riesgo, (57) y (58), y se obtiene la siguiente ecuación diferencial parcial de valoración:

Teniendo en cuenta que

y dado que Φt = = Δ, entonces

Reemplazando (60) y (61) en (59) se tiene que la EDP no lineal de valoración del derivado V(t, St) con pago V(T, St) = h(ST) resulta en:

El siguiente teorema generaliza el resultado anterior (62) para el problema de replicación del derivado del gran operador.

Teorema 4. Suponga que para un punto fijo del proceso de volatilidad del activo υtot, hay una solución VC1,2 ([0,T] x +) de la siguiente ecuación diferencial parcial no lineal:

Entonces, la estrategia de negociación autofinanciada del derivado V(t, St) y la estrategia de negociación del activo Φt = Δ es una estrategia perfecta de replicación o cobertura del derivado con pago h(ST).

La característica clave de esta EDP es que el riesgo del modelo, representado por la volatilidad vtot, depende de la segunda derivada de la solución V, es decir, el gamma, y de , elementos que le conceden el carácter de no linealidad.

Este tipo de EDP no lineal permite estudiar los distintos tipos de riesgos, en general, el riesgo de modelo, que surgen de la verosimilitud limitada de los supuestos del modelo BS. En el campo de valoración de opciones, varios problemas son descritos con EDP no lineales que incluyen, entre otros, modelos de volatilidad estocaística, de correlación local, modelos con costos de transacción o con tasas diferenciadas, hasta problemas de ejercicio óptimo de opciones, incertidumbre de parámetros, calibración de smiles de volatilidad y ajustes de valoración por riesgo crediticio.

Para resolver problemas no lineales normalmente se recurre a métodos numéricos como el de diferencias finitas. Sin embargo, estos sufren de la llamada maldición de la dimensionalidad (a medida que crece el número de activos o variables dependientes, el tiempo computacional resulta costoso). Una alternativa con menor dependencia de dimensionalidad son los métodos basados en simulación, como el método de Monte Carlo. Otra herramienta de resolución son las aproximaciones numéricas de ecuaciones diferenciales estocásticas hacia atras o BSDE (backward stochastic differential equation). Las BSDE son representaciones de las soluciones de EDP no lineales que resultan de la generalizacion del teorema de Feynman-Kac. Como referencia central al respecto vease Karoui et al. (1998).

En la práctica, resolver numéricamente una BSDE requiere el cálculo de una esperanza condicional, usualmente a partir de regresiones. Una forma de aproximar la EDP no lineal evitando lo anterior es a través de difusiones ramificantes. Estos procesos de ramificación permiten representar las soluciones de EDP no lineales por medio de una función polinómica. A la vez su desventaja es que aplica a no linealidades de tipo polinómico. Por su lado, las técnicas de Machine Learning son un candidato potencial y revolucionario para la solución de EDP no lineales en términos de velocidad computacional.

7. Conclusiones

En este documento se han extendido los modelos de Frey (2000), Frey y Patie (2002) y Moreno Trujillo (2020) al incluir un proceso estocastico de reversión a la media Ornstein-Uhlenbeck para caracterizar la dinámica de la liquidez. Se consideró un modelo donde el mercado no es perfectamente líquido, ya que la actividad de un gran operador afecta los precios del activo riesgoso en el mercado. Los precios del activo riesgoso y su volatilidad se mueven en relación con el grado de liquidez del mercado y el volumen de negociación del gran operador. El documento se basó en las estrategias basicas de negociación empleadas por Frey (2000). Teóricamente se encontró que, para estrategias de retroalimentación positiva y contrarias, la volatilidad es mayor que en el esquema de Black-Scholes y el modelo de liquidez constante cuando la correlación entre los Brownianos de los precios y la liquidez es no-positiva. Además, en estas estrategias, la volatilidad total del activo es mayor que en el caso del modelo de liquidez constante cuando no hay correlación entre las fuentes de incertidumbre del modelo. Bajo este mismo escenario, y en contraste con el modelo Black-Scholes, se observa que a medida que el mercado del activo subyacente sea mas ilíquido, el impacto de la actividad del gran operador sobre la volatilidad y los precios es mayor.

En este trabajo se desarrolló una ecuación diferencial parcial no lineal para la valoración de derivados. Para ello, se analizó el problema de un gran operador que busca replicar o cubrir el pago de un derivado mediante una estrategia de negociación autofinanciada que incluye tanto el derivado como el activo riesgoso, todo ello bajo el marco de la ausencia de arbitraje.

Finalmente, se mencionan algunas sugerencias para futuras investigaciones que surgen del presente trabajo. Se destaca la necesidad de encontrar la solución a la ecuación diferencial parcial no lineal, así como estudiar el desempeño y evaluar la consistencia de la valoración de derivados en comparación con otros modelos de liquidez imperfecta. También se sugiere explorar, a través del modelo presentado, distintas estrategias de negociación o cobertura de derivados en comparación con el modelo de Black-Scholes, y no limitar la aplicabilidad del modelo tínicamente a mercados notoriamente ilíquidos. Además, se plantea la posibilidad de aplicar el modelo propuesto a tipos de activos como acciones, índices accionarios, ETF, divisas, commodities, criptomonedas o NFT.

Para abordar la resolución numérica de ecuaciones diferenciales parciales no lineales, se pueden emplear distintos enfoques. Las diferencias finitas son efectivas, pero pueden volverse costosas computacionalmente a medida que aumenta el número de activos o variables dependientes. Por otro lado, la simulación de Monte Carlo ofrece una alternativa con menor dependencia de la dimensionalidad. Otra estrategia es utilizar aproximaciones numéricas como las ecuaciones diferenciales estocásticas hacia atrás (BSDE), las cuales generalizan el teorema de Feynman-Kac para representar soluciones de EDP no lineales. Resolver una BSDE implica el cálculo de una esperanza condicional, aunque una forma de evitar este inconveniente es mediante el uso de difusiones ramificantes, que permiten aproximar la EDP no lineal a través de funciones polinómicas. Además, el uso de Machine Learning ofrece una mejor velocidad computacional, lo que lo convierte en una herramienta atractiva para la resolución de ecuaciones diferenciales parciales no lineales.


Referencias

Aitken, M., y Comerton-Forde, C. (2003). How should liquidity be measured? Pacific-Basin Finance Journal, 11(1), 45-59.

Amihud, Y. (2002). Illiquidity and stock returns: Cross-section and time-series effects. Journal of Financial Markets, 5(1), 31-56.

Barndorff-Nielsen, O. E., y Shephard, N. (2001). Non-gaussian ornstein-uhlenbeck-based models and some of their uses in financial economics. Journal of the Royal Statistical Society: Series B (Statistical Methodology), 63(2), 167-241.

Bordag, L. A., y Frey, R. (2008). Pricing options in illiquid markets: Symmetry reductions and exact solutions. En Nonlinear models in mathematical finance: Research trends in option pricing (p. 103-130). Nova Science Publishers, Inc.

Brunetti, C., y Caldarera, A. (2004). Asset prices and asset correlations in illiquid markets. Available at SSRN 625184.

Cvitanić, J., y Ma, J. (1996). Hedging options for a large investor and forward-backward sde's. The annals of applied probability, 6(2), 370-398.

Feng, S.-P., Hung, M.-W., y Wang, Y.-H. (2014). Option pricing with stochastic liquidity risk: Theory and evidence. Journal of Financial Markets, 18, 77-95.

Frey, R. (2000). Market illiquidity as a source of model risk in dynamic hedging. Model Risk, 125-136.

Frey, R., y Patie, P. (2002). Risk management for derivatives in illiquid markets: A simulation study. Springer.

Frey, R., y Polte, U. (2011). Nonlinear black-scholes equations in finance: Associated control problems and properties of solutions. SIAM Journal on Control and Optimization, 49(1), 185-204.

Frey, R., y Stremme, A. (1997). Market volatility and feedback effects from dynamic hedging. Mathematical Finance, 7(4), 351-374.

Kampovsky, A.-K., y Trautmann, S. (2000). Price Impact and Profit of Xetra-Traders: Does Profitability Increase with Trade Size? Department of Economics, University of Mainz.

Karoui, N. E., Jeanblanc-Picquè, M., y Shreve, S. E. (1998). Robustness of the black and scholes formula. Mathematical finance, 8(2), 93-126.

Merton, R. C., y Samuelson, P. A. (1992). Continuous-time finance. Blackwell Boston.

Mönch, B. (2005). Modeling feedback effects with stochastic liquidity. Strategic Trading in Illiquid Markets, 9-46.

Moreno Trujillo, J. F. (2018). Una nota sobre valoración de opciones financieras y ecuaciones diferenciales parciales no lineales (i). ODEON, (15).

Moreno Trujillo, J. F. (2020). Dinámica de precios y valoración de activos contingentes en mercados con riesgo de liquidez. ODEON, (19).

Platen, E., y Schweizer, M. (1998). On feedback effects from hedging derivatives. Mathematical Finance, 8(1), 67-84.

Ronnie Sircar, K., y Papanicolaou, G. (1998). General black-scholes models accounting for increased market volatility from hedging strategies. Applied Mathematical Finance, 5(1), 45-82.

Schöbel, R., y Zhu, J. (1999). Stochastic volatility with an ornstein-uhlenbeck process: An extension. Review of Finance, 3(1), 23-46.

Stein, E. M., y Stein, J. C. (1991). Stock price distributions with stochastic volatility: An analytic approach. The Review of Financial Studies, 4(4), 727752.

Trujillo, J. F. M. (2022). Finanzas cuantitativas. U. Externado de Colombia.

Wilmott, P., y Schönbucher, P. J. (2000). The feedback effect of hedging in illiquid markets. SIAM Journal on Applied Mathematics, 61(1), 232-272.

Zhu, J. (2013). Modular pricing ofoptions: An application offourier analysis (Vol. 493). Springer Science & Business Media.