Análisis comparativo de técnicas (IMA) para determinar capitales mínimos regulados por Basilea, ante crisis en mercados emergentes

Víctor Adrián Álvarez, Adrián Fernando Rossignolo

valvarez@udesa.edu.ar, arossignolo@provida.com.ar (UdeSA y FCE, UBA)


Resumen

Una alternativa sugerida por normas de Basilea para estimar el Valor en Riesgo (VaR) como medida del riesgo de mercado es el método de modelos internos (IMA), que permite a las instituciones reguladas calcularlo utilizando metodologías propias, resultando que desarrollar técnicas precisas para estimar el VaR adquiere especial relevancia. Un método de estimación de cuantiles extremos, que considera circunstancias extraordinarias e inusuales, utiliza la Teoría de Valores Extremos (EVT). Este trabajo intenta evaluar empíricamente, en escenarios de crisis financieras, la aptitud del método EVT, comparándolo con otros métodos de estimación del VaR y estudiando su aplicabilidad en mercados desarrollados y emergentes. Se concluye que los métodos basados en EVT pueden ayudar a las instituciones a evitar grandes pérdidas ante desastres del mercado. La constitución del “Capital Mínimo Regulatorio” exigido por las normas de Basilea ilustra las ventajas del EVT. Aparte, no se aprecian diferencias significativas entre mercados desarrollados y emergentes.

Palabras clave: Valor en Riesgo, Teoría de Valores Extremos, GARCH, simulación histórica, crisis financiera.


Abstract

The Internal Models Approach (IMA) constitutes an alternative to estimate the Value-at-Risk (VaR) suggested by Basel Committee rules. The fact that IMA allows regulated institutions to employ their own methodologies highlights the relevance to develop accurate techniques to compute VaR. The Extreme Value Theory (EVT), which grounds on extraordinary and unusual circumstances, represents a novel scheme specifically devised to deal with financial crises. This paper attempts to assess the empirical adequacy of EVT to calculate VaR during market turmoil andcompare it with that of more established models, simultaneously discussing its applicability in emerging and developed markets. It is concluded that EVT-based methods can aid institutions in avoiding large losses in the event of huge markets lumps. The advantages of EVT are illustrated in an exercise regarding the constitution of Minimum Regulatory Capital required by Basel Committee directives, where no significant differences between developed and emerging markets can be spotted.

Keywords: Value-at-Risk, Extreme Value Theory, GARCH, Historical Simulation, Financial crises.


1. Introducción

Si bien las instituciones financieras han informado, con posterioridad a la crisis de 2007-2008, haber cumplido los requerimientos mínimos de capital (MCR: Minimum Capital Requirements) exigidos por el Comité de Supervisión Bancaria de Basilea (BCBS: Basel Committee of Banking Supervision) en el Acuerdo de Capital de Basilea II (Basilea II), el espectacular colapso de muchos bancos, junto a la magnitud de los rescates consiguientes, es consistente con la idea de que los niveles de capital regulatorio vigentes eran insuficientes. Esto originó serias críticas a los modelos matemáticos y estadísticos usados por las empresas para administrar sus riesgos. Parece evidente que hubo fallas en las prácticas de gerenciamiento de riesgos, pero no está claro que ellas hubieran estado originadas en defectos de los modelos que pretendieron aplicarse. Así, por ejemplo, en un artículo de Danielsson et ál. (2001) se afirma, entre otras cosas, que el Comité de Supervisión Bancaria, en su propuesta de lo que luego se denominó Basilea II, se habría equivocado al considerar la endogeneidad del riesgo, concluyendo que el Valor en Riesgo (VaR) puede desestabilizar una economía e inducir crashes que de otra forma no ocurrirían. De este modo, en razón de la inconsistencia y el sesgo que los modelos financieros utilizados para pronosticar el riesgo han mostrado en varios casos, el riesgo conjunto a la baja ha resultado claramente subestimado. Donnelly y Embrechts (2010), por su parte, aportan más críticas a la regulación financiera, calificándola de procíclica al postular la factibilidad de exacerbar los potenciales movimientos del mercado.

A mediados de 2004 el Comité de Supervisión Bancaria de Basilea publicó el documento “Convergencia internacional de medidas y normas de capital. Marcorevisado” (Basilea II), disponiendo nuevos criterios para la determinación del capital regulatorio de las entidades financieras. Un tiempo después, para el sector del seguro, el Acuerdo Solvencia II, con raíces en el modelo de Basilea II, buscó mejorar la seguridad en el sistema financiero al enfatizar los controles internos de las instituciones así como los modelos y procesos de administración de riesgos. A tal fin, se utilizarían principalmente modelos estadísticos elaborados con bases de datos históricas de las empresas, a efectos que cada entidad realice una cobertura de sus posibles pérdidas considerando la calidad histórica de su cartera. En síntesis, Solvencia II representaría para las entidades aseguradoras lo que Basilea II representa para los bancos.

Basilea II está organizado sobre la base de tres “pilares”: el primero se refiere a los requisitos mínimos de capital; el segundo se relaciona con el proceso de revisión del supervisor y el tercero discurre sobre la disciplina de mercado. A diferencia de su antecesor, el Acuerdo de 1988 (Basilea I), Basilea II tiene una visión más general del tratamiento de los riesgos que toman las entidades y a la vez brinda mayor flexibilidad al permitir una variedad de enfoques para la medición del capital regulatorio.

En septiembre de 2010 el Banco de Pagos Internacionales (BIS) adoptó nuevas reglas para fortalecer la solidez de los bancos en caso de crisis, las cuales debían ser incluidas en el entonces futuro Acuerdo de Basilea III. Este paquete de reformas fue avalado en la reunión de líderes del G20 en noviembre de 2010 en Seúl y entraría en vigor progresivamente a partir del 1.° enero de 2013 para su aplicación en 2015 y su instalación definitiva en 2019. Estas modificaciones, destinadas a evitar un derrumbe del sistema bancario como el ocurrido después de la caída del banco estadounidense Lehman Brothers en 2008, provocaron reacciones en el sector bancario por temor a que estas nuevas directivas le obliguen a constituir sumas muy importantes de capitales suplementarios, evidenciándose una aparente oposición entre el valor para los interesados en la empresa (stakeholders) y los accionistas. Muestra de ello fueron las manifestaciones de preocupación en el sector del seguro por la posibilidad que la futura directiva Basilea III penalice la inversión de la banca en el negocio asegurador. En este sentido, una corriente de pensamiento entiende que la banca y el seguro son proclives a evitar un doble uso del capital invertido en los dos sectores, es decir, que un mismo capital sirva para cubrir los dos requerimientos legales, bancarios y aseguradores. Sin embargo, el excedente de capital, una vez computadas las coberturas legales, aparentemente debería tener la misma consideración que cualquier otra inversión, como en renta fija o variable, y no penalizar la inversión en entidades aseguradoras.

La nueva normativa de Basilea III establece que para los bancos que adopten el método de modelos internos (IMA: Internal Models Approach), las directivas de Basilea II deberán ser reforzadas adicionando a la actual fórmula de cálculo de los MCR un Valor en Riesgo estresado o incrementado (SVaR: stressed Value-at Risk), valor que además será aumentado mediante un amortiguador para la conservación del capital (CCB: Capital Conservation Buffer) y otro anticíclico (CyCB: Countercyclical Capital Buffer). Sin embargo, a pesar de los frágiles niveles de capital propio reportados por algunas entidades, el Comité de Basilea mantuvo el mínimo de capital requerido en el 8% (SA: Standardised Approach o Método Estándar) sobre el que también deben ser colocados tanto el CCB como el CyCB.Al igual que en Basilea II, los bancos tienen el derecho de seleccionar entre los modelos IMA basados en VaR y el SA -más los dos amortiguadores,- siempre que sea cumplida la estipulación mínima del 8%.

Basilea III muestra preocupación por una mejor regulación de los riesgos de mercado, atento al llamado para el mejoramiento de la base de capital en vista de las carencias puestas al descubierto por las grandes oscilaciones adversas del mercado. Similarmente a Basilea II, se establece que el futuro IMA debe basarse en el Valor en Riesgo (VaR). El BCBS, una vez más, evitó definir una técnica particular para estimarlo, dejando, en consecuencia, en libertad a los bancos para adoptar su opción preferida sujeta al cumplimiento de las habituales restricciones cualitativas y cuantitativas, por lo que el contexto así definido pone de manifiesto la importancia de desarrollar modelos precisos de estimación del VaR. Los efectos que ejercen las normas de Basilea II sobre los países desarrollados y los modelos de VaR, en general, han sido ampliamente documentados, mas no ha ocurrido lo mismo con los mercados emergentes. Sin embargo, la creciente importancia que los últimos han adquirido últimamente fundamenta la pertinencia de ampliar la investigación a estos.

En ese marco surge como valioso el estudio de modelos que faciliten la interpretación de la dinámica de los riesgos en países en desarrollo, comparada conotros países, la proyección de variables y la estimación del impacto de políticas y regulaciones, así como la elaboración de documentos de investigación empírica y teórica sobre esos temas, vinculando globalmente la problemática emergente.

Así es que, dado que se han desarrollado múltiples métodos de estimación del VaR, se encuentra aún en discusión la eficacia práctica de los mismos; como ejemplo puede mencionarse que los métodos que podrían ser aptos para un escenario normal, probablemente no lo sean en un escenario de crisis.

La mayoría de las técnicas concebidas para la cuantificación del VaR se basan en el supuesto de que los retornos financieros siguen una distribución normal. La distribución normal ajustada con precisión a los datos empíricos en el centro de la curva (dando cuenta de la mayoría de las ganancias y pérdidas), pero no se desempeña adecuadamente en las “colas” donde ocurren los eventos extremos. El problema reside en que existe una amplia evidencia que las series temporales financieras presentan colas “anchas” y posiblemente “asimétricas” (Rachev, Menny Fabozzi, 2005,1), hecho que confirma los hallazgos de Mandelbrot (1963) y Fama (1965). Los eventos extremos son escasos y anormales por definición, de allí que sea imposible estimar su frecuencia considerando toda la distribución. En tal sentido, Neftci (2000) afirma que los eventos extremos que producen las colas anchas de la distribución de los retornos tienen, posiblemente, una estructura diferente a la de los asociados a los retornos generados en las condiciones diarias habituales del mercado.

Manganelli y Engle (2004) clasifican las distintas metodologías que existen para la estimación del VaR en tres grandes grupos: Paramétrica, No-Paramétrica e Híbrida. Cada una abarca distintas técnicas así, por ejemplo, General Autoregressive Conditional Heteroskedastic (GARCH) pertenece a los modelos paramétricos, mientras que la Simulación Histórica (HS) a los no-paramétricos y la Teoría de Valores Extremos (EVT) a los modelos híbridos. La aplicación de las distintas técnicas para estimar el VaR es un tema muy controversial: en este sentido Jackson, Maude y Perraudin (1997) se inclinaron por HS, Bollerslev, Engle y Nelson (1994) recomendaron los modelos GARCH, mientras que Danielsson y de Vries (1997) y McNeil y Frey (1999) avalaron EVT. Sin embargo, Beder (1995), aunque no considera EVT, señala que las estimaciones del VaR producidas por distintos métodos pueden presentar enormes diferencias.

Este artículo lleva a cabo una comparación de algunas de las metodologías más difundidas encuadradas en las diferentes categorías antes mencionadas. El desempeño predictivo de cada modelo se evalúa en nueve mercados de capitales (cuatro emergentes y el resto desarrollados) y el período de predicción incluye el año 2008 en que comienza la última gran crisis financiera. Las estimaciones del VaR son testeadas siguiendo la metodología de “backtesting” recomendada por los Acuerdos de Capital de Basilea así como con el procedimiento “Unconditional Coverage” (Christoffersen, 2003), empleando ambas colas de la distribución. El resultado del estudio es cierta evidencia del mejor desempeño de los modelos EVT que, en las situaciones de crisis, generalmente se traduce en la suficiencia del capital de las instituciones que emplean este método para calcular el VaR. Surge también que, en oposición a lo que podría esperarse, no aparecen claras diferencias entre mercados desarrollados y emergentes. Sin embargo, este trabajo solo debería ser considerado como exploratorio en lo concerniente al desarrollo del EVT para gestión del riesgo financiero en economías emergentes, ya que la compleja estructura estocástica de los mercados financieros parece justificar una advertencia contra la excesiva confianza en las técnicas de valores extremos (Coles, 2001).

2. Marco teórico

2.1. Definición de Valor en Riesgo (VaR)

En el contexto de este trabajo el término “riesgo” puede interpretarse como la pérdida potencial que puede sufrir el valor de un activo, mientras que la medida del riesgo está vinculada a la probabilidad de sufrir esa pérdida.

El “Value at Risk” o Valor en Riesgo, VaR(α;Δt), es una medida probabilística del riesgo de mercado que estima la pérdida máxima que puede sufrir el valor de un activo, en un intervalo de tiempo, Δt, especificado y con un nivel de confianza (probabilidad), 1-α, dado. (J. P. Morgan, 1994).

Pr [Pérdida durante at >VaR(α;Δt)] = α(a)

Así, por ejemplo, si el valor del portafolio de inversiones de un agente económico en la fecha “t” es Pt = u$s 10.000.000, se fija un intervalo de tiempo at = 72 hs (3 días) y el nivel de confianza es una probabilidad 1 - α = 95%, entonces VaR (5%; 72 hs) = u$s 600.000 significa que esa es la pérdida máxima esperada en un período de 3 días con una confianza del 95% (la probabilidad de que sufra una pérdida mayor se estima en 5%). En otras palabras, se pronostica que, en condiciones normales, en solo un período de tres días de cada 20 períodos similares, la pérdida de valor del portafolio superará u$s 600.000. Es un hecho que Bank for International Settlements (BIS)1, recomienda 1-α = 99% y Δt = 10 días para intermediarios financieros.

Se define “tasa de rentabilidad de un activo en un período” como

Ri,t+Δt = (Pi,t+Δt + Di,t+Δt)/Pi,t-1 = αPi,t+Δt / Pi,t(b)

siendo αPi,t+Δt = (Pi,t+Δt + Di,t+Δt)-Pi,t

donde Pi,t+Δt y Pi,t son los precios del activo “i” en los momentos “t+Δt” y “t” respectivamente, mientras que Di,t+Δt es el valor, en el momento “t+Δt”, de los flujos de fondos producidos por el activo “i” durante el período que va de “t” a “t+Δt”.

Por razones teóricas y prácticas se utilizan habitualmente en el análisis financiero, y así se lo hará en este artículo en todo lo que sigue, los “retornos” (tasas de rentabilidad con capitalización continua en un período de tenencia “at”) definidos como

ri,t+Δt = ln [(Pi,t+Δt + Di,t+Δt)/Pi,t] (c)

Debe puntualizarse que, como muestra Dow (2005, 55), cuando el período de tenencia, la tasa de rentabilidad y el retorno son pequeños, resulta

Ri,t+Δt ≈ri,t+Δt(d)

Dado que los administradores de riesgo, en el momento de tomar sus decisiones, no conocen la rentabilidad ex-post que tendrán sus activos, es que los retornos se modelan como variables aleatorias que permiten un tratamiento técnico de la consiguiente incertidumbre. Luego, puede expresarse la anterior definición (a) de VaR en términos relativos o retornos2 del activo:

Prob. (rt+Δt<VaRt+Δt) = α(e)

A los efectos de poder expresar el Valor en Riesgo en unidades monetarias, utilizando como datos los retornos históricos que no vienen dados en esas unidades, se realiza el correspondiente cambio de variables.

En general, el VaR de los retornos, pronosticado en el momento “t” para elmomento,“t+1”, se calcula mediante la fórmula:

VaRt+1 (α;Δt) = αt+1*F-1(α)[1]

donde:

σt+1: predicción de volatilidad derivada de algún modelo, ajustada al período Δt. F-1(α): inversa de la función de probabilidad acumulativa (función de distribución) de la variable aleatoria retorno estandarizada (α-cuantil de F).

La correspondiente fórmula general en unidades monetarias es:

VaRt+1(α;Δt)=Ptt+1*F-1(α)[1-bis]

Si el retorno rt+Δt es una VA iid D (m;s) cuya distribución se supone conocida, entonces el valor esperado, la varianza y la desviación estándar de la variable rt+Δt (supuesta normal) para un período cualquiera de amplitud a’t son:

E(rt+Δt) = mα’tα2 (rt+Δt) = s2α’tα (rt+Δt) = s(α’t)½

Estas fórmulas se usan para adaptar al período del VaR, en el supuesto arriba indicado, los datos expresados en otra periodicidad.

Si al supuesto (que se verifica empíricamente con bastante aproximación para datos diarios) E(rt+Δt) = 0, se agrega el de normalidad de los retornos rt+Δt, resulta entonces la siguiente fórmula para la estimación del VaR, cuando z es la correspondiente variable aleatoria estandarizada, el nivel de confianza es 1 - α (yα = z α = α-1 (α)) y el período de tiempo es Δt:

2.2.1. Estimación no-paramétrica: simulación histórica (HS)

La simulación histórica constituye la manera más simple de estimar el cuantil de la distribución de pérdidas, ya que solo requiere la distribución empírica de los datos. Es un método incondicionado que solo supone que la serie temporal de los retornos es estacionaria3 con una función de distribución Fx, haciendo que la función de distribución empírica de los datos sea consistente con el estimador de Fx4. En términos formales, la estimación del VaR para t+1, con un período muestral de longitud n hasta el momento t, está dada por el α-cuantil empírico:

VâR (α)t+1 = α Q(α) (rt; r t-1; …;rt-n+1)[3]

Aun considerando la reducción de dimensionalidad a series temporales univariadas y la facilidad de su implementación al no hacer supuestos acerca de la dependencia de la estructura de los factores de riesgo, este esquema es inherentemente inconsistente (Manganelli y Engle, 2004). Sus defectos son originados, principalmente, por la ignorancia de la ligera dependencia entre los retornos y por el tamaño de la muestra: no existe una solución sencilla para la dicotomía originada por la necesidad de muestras grandes que permitan una mejor inferencia estadística y muestras más reducidas requeridas para las observaciones dentro y fuera del presente cluster de volatilidad. Además, Dowd (2005) y Penza y Bansal (2001) resaltan que es probable la presencia de efectos ghost o shadow (fantasma o sombra).

2.2.2. Algunos modelos paramétricos de volatilidad condicionada

Por las razones que se indican más adelante, esta investigación se desarrolla dentro de los límites de la representación GARCH, definida mediante las siguientes ecuaciones:

GARCH(1;1): rt+1 = αt+1 zt+1
α2t+1 = w + αrt2+ βαt2
[4]
Con shocks aleatorios o innovaciones zt+1 ~ iid D(0;1)y w > 0; α, β≥05.

Las motivaciones estrictamente pragmáticas por las que el estudio se restringirá a la aplicación del modelo GARCH de primer orden obedecen a que la mayor precisión obtenida extendiéndolo a órdenes superiores es marginalmente insignificante según documentan McNeil, Frey y Embrechts (2005) ver también Gujarati (1997), quienes además fundamentan en razones de parsimonia la utilización del menor orden posible.

2.2.3. Un modelo híbrido: teoría de valores extremos

2.2.3.1. Síntesis de sus fundamentos teóricos

Los modelos antes mencionados trabajan sobre los cuantiles de las variables aleatorias utilizando información de todo el conjunto de datos. Sin embargo, debido al hecho que los cuantiles al 1% o 5% son valores extremos de la distribución, resulta natural modelar las colas directamente en lugar de considerar la estructura completa de la distribución. La Teoría de Valores Extremos (EVT) provee una justificación teórica para tales procedimientos, ya que desempeña un rol similar al del Teorema Central del Límite en la modelización de variables aleatorias.

Esta sección aporta algunas nociones básicas indispensables para el resto del artículo para un tratamiento detallado consultar a Embrechts, Klüppelberg y Mikosch (1997), McNeil, Frey y Embrechts (2005), o Reiss y Thomas (2007). En términos generales, los valores extremos pueden ser modelados siguiendo dos procedimientos básicos: a) Los modelos Block Máxima (BMM. Block Maxima Models), que emplean las distribuciones generalizadas de valores extremos (GEV) para ajustar una distribución a partir de los máximos o mínimos de un conjunto de datos muestrales iid agrupados en bloques de similar tamaño, o b) Los modelos Peaksover Thresholds (POT), que utilizan las distribuciones generalizadas de Pareto (GDP) para ajustar una distribución a los valores muestrales iid que exceden un umbral especificado.

El primero tiene el inconveniente de retener para el análisis solamente el valor máximo (o el mínimo) de un gran bloque de datos. En consecuencia, evitar el proceso de agrupamiento en bloques muy grandes deriva en una mejor utilización de los datos. Además, en mercados emergentes con series de datos de extensión relativamente corta, es crucial el no tomar en cuenta algunos datos intermedios contenidos en el bloque, ya que podrían llegar a ser extremos si los bloques fueran de diferente tamaño. En consecuencia, por las razones antes enunciadas, en este trabajo se utilizan mode los del tipo POT.

Sea una sucesión de variables aleatorias independientes e idénticamente distribuidas (iid)X1, X2, …, Xn que tienen la función de distribución F(y) = Pr(X<y) desconocida; en esas condiciones los eventos extremos serán definidos como aquellos valores de Xt que exceden algún valor u, alto y predeterminado. La variable X - u representa los POT (Excesos sobre el Umbral u). Solo se hará referencia a umbrales positivos (u> 0), pues los resultados para u < 0 emplean un razonamiento similar.

La relación entre la función de distribución Fu de los citados POT y F, la de lavariable aleatoria subyacente, está determinada por la probabilidad condicional:

Fu(y) puede interpretarse como la probabilidad de que una pérdida exceda el umbral u por un monto igual o menor a y, supuesto que el umbral u ha sido excedido. La fórmula [5] muestra que si fuera conocida la distribución original F, sería también conocida la distribución de los excedentes Fu; sin embargo, en las aplicaciones reales sucede lo contrario, obligando entonces a estimar con base en los datos muestrales, la distribución desconocida F para valores altos por encima del umbral.

A continuación se realiza una brevísima descripción de los fundamentos teóricos básicos que permiten tal estimación.

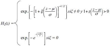
Si se interpreta “valor extremo” como la máxima pérdida en un cierto intervalo de tiempo, entonces puede definírselo como el máximo (o mínimo) de una muestra{x1, x2, … , xn}. Se trata entonces de determinar la función de distribución H de esos valores extremos. Suponiendo que esos son valores de una secuencia: X1, X2,…, Xn de variables aleatorias iid con función de distribución común F, se designa Mn = max {X1; X2; …; Xn}, y si F cumple con el teorema de Fisher y Tippet(1928), puede probarse que, para valores grandes de n, Pr{Mnz}≈ H(z) con

La expresión anterior es la fórmula de la función de distribución límite de Mn, conocida como “Distribución Generalizada de Valores Extremos” (GEV). Hξ depende de tres parámetros: µ (locación), σ > 0 (escala) y ξ (índice de cola o de forma). El dominio de z está restringido por la condición 1 + ξ[(z - μ) / σ] > 0.

Dado que a los efectos de este trabajo interesa estimar Fu, la función de distribución de los excesos sobre el umbral u, se enuncia a grandes rasgos un teorema que vincula las distribuciones Hξ y Fu (Balkema y de Haan, 1974; Pickands, 1975):

Para un amplio conjunto de funciones de distribución subyacentes F, existe un valor σ que depende de u6, tal que F(y) ≈ Gξ,σ(y), si y solo si F pertenece al máximo dominio de atracción de la distribución generalizada de valores extremos (GEV) Hξ, donde Gξ,σ representa la “Distribución Generalizada de Pareto” (GDP) dependiente de los parámetros ξ y σ, cuya expresión es

Al igual que para las distribuciones GEV, mayores valores del índice de cola ξ implican un incremento en el tamaño de las colas.

Existen tres tipos de distribuciones pertenecientes a la familia GPD, de acuerdo con el valor del índice de cola ξ:

Ellas se corresponden con las distribuciones de valores extremos GEV de Fréchet, Gumbel y Weibull respectivamente.

La precisión de la familia GDP puede ser mejorada si se le agrega un parámetro de localización µ,7 convirtiéndose entonces en Gξ,σ(y - µ). En sentido amplio, los teoremas anteriores significan que si la distribución de los máximos Mn de los bloques de datos es aproximadamente descripta por H, entonces la distribución aproximada de los excesos sobre el umbral está dada por Gξ,σ, y, en consecuencia, pertenece a la familia Generalizada de Pareto (GDP). Adicionalmente, los parámetros de la fórmula del modelo GDP están unívocamente determinados por los de la correspondiente distribución GEV asociada de los máximos de los bloques muestrales (Coles, 2001).

Una vez que se ha realizado la elección del umbral u y se han estimado los parámetros del modelo GPD8, es necesario obtener la expresión para determinar el cuantil relevante que permitirá calcular el VaR. Así, de la ecuación [5] y teniendo presente que x = y + u, una estimación de F(x), para x >u podría ser:

F(x) = [1 - F(u)] Gξ,σ(y) + F(u) [6]

Considerando k como el número de observaciones mayores al umbral u, F(u)puede ser fácilmente aproximada de manera no-paramétrica por medio del simple estimador empírico:

Introduciendo [7] y la fórmula de Gξ,σ en [6] es posible encontrar una estimación de F(x):

donde ξˆ y σˆ son estimadores de ξ y σ respectivamente. Para un nivel de significación α >F(u) o, lo que es igual, un nivel de confianza 1-α ≤ 1-F(u), la expresión del VaR se puede computar determinando la función inversa de y resolviendo parax en las fórmulas [8]:

2.2.3.2. Identificación del umbral u y ajuste del modelo GDP a los excesos

De acuerdo con Christoffersen (2003), la selección del umbral es el punto débil del método POT. Aun cuando hay numerosas maneras basadas en fórmulas para escoger el umbral u, no existe un fundamento teórico que sustente un procedimiento satisfactorio para este objetivo (Reiss and Thomas, 2007 o Beirlant, Vynckier and Teugels, 1996). Si bien las citadas fórmulas aparentan funcionar razonablemente bien, deben utilizarse con cuidado, pues originan frecuentemente la selección de un número demasiado elevado de estadísticos de alto orden (Danielsson and deVries, 1999 y Coronel-Brinzio y Hernández-Montoya, 2004).

Es por ello que el profesional o consultor de finanzas se ve obligado a utilizar una serie de procedimientos ad-hoc para poder determinar u como el punto de partida para la estimación de los parámetros del modelo GDP que ajuste razonablemente a los datos y permita un adecuado pronóstico del VaR. En el presente estudio se utiliza una técnica basada en el análisis de un conjunto de elementos tales como el valor muestral de la Función de la Media de los Excesos (MEF), gráficos QQ (Quantile-Quantile; QQ plots), la función de densidad kernel y la función muestral de cuantiles. La utilización conjunta de las mencionadas técnicas permitiría, en principio, un análisis más profundo de las características relevantes de la serie temporal de los datos a los efectos de tomar una decisión acerca del umbral más adecuado para el ajuste del modelo GDP. Por consiguiente, la idea es llevar acabo un análisis de los extremos superior e inferior de las series sobre una base individual, en lugar de emplear el conjunto habitual de recetas intentando ganar precisión en la estimación del comportamiento de los extremos.

El estadístico u será aproximado usando la representación gráfica de los valores muestrales de la función MEF, definida como el estimador empírico de la verdadera MEF, expresadas formalmente por:

que representa el promedio de los valores que exceden el límite superior u para una muestra de n observaciones. El método gráfico para escoger un umbral adecuado se basa en el hecho que si los excedentes tienen una distribución GDP, entonces la Función de la Media de los Excesos (MEF) es lineal en u. En efecto, se demuestra que

Es así que, de acuerdo con la tendencia observada en el Gráfico, pueden ser deducidas las siguientes conclusiones:

Como señalan McNeil y Saladin (1997), la distribución de los excedentes será del tipo GDP con ξ > 0 en el sector de la cola que supera a u, si la representación empírica de la función MEF muestra aproximadamente una línea recta con pendiente positiva: el umbral u puede ser identificado como el valor de la abscisa correspondiente a la parte del gráfico desde donde comienza a verificarse la pendiente positiva.

Las ideas básicas para la selección del umbral pueden ilustrarse modelando la cola superior de los retornos del índice FTSE100 con datos diarios que van desde el 03/04/84 al 29/12/06 inclusive. En el Gráfico de la función MEF muestral puede observarse alguna evidencia del comienzo de una sección con gradiente linealmente positivo en la zona entre 1.50% y 2%, por lo que el umbral u puede ser estimado aproximadamente, por ejemplo, en 1.76%, para intentar encontrar un modelo GDP que provea un ajuste razonable a las pérdidas más grandes9(Gráfico 2.1).

El ajuste por el método de máxima verosimilitud (ML) origina las siguientes estimaciones de los parámetros: índice de cola ξ = 0.1222, locación µ = -0.0349 y dispersión σ = 0.0431. La razonable adecuación del modelo GDP puede evaluarse por medio de varias herramientas gráficas. Así es que en el Gráfico 2.2 puede verse la función de distribución muestral (línea punteada) con la GDP superpuesta (línea continua): es posible apreciar que sobre el umbral u = 1.76% ambas líneas se encuentran casi superpuestas. En realidad, existen algunos valores anormales (outliers) más allá del 10%, que pueden convenientemente ser eliminados de lamuestra para evitar distorsiones (McNeil, A. J., Frey, R., and Embrechts, P., 2005).

La evidencia que respalda el modelo GDP es reforzada por los Gráficos 2.3 y 2.4, en los que se muestran los valores empíricos con línea punteada, mientras que la línea continua representa el modelo GDP ajustado.

También es útil representar gráficamente los cuantiles empíricos (ordenadas) enfunción de los cuantiles de la Distribución Generalizada de Pareto (GDP) estimada (abscisas), para controlar que el Gráfico resultante es aproximadamente una línea recta. (véase el Gráfico 2.5).

Coles (2001) argumenta que una segunda posibilidad para la selección del umbral en el método pot es el análisis de la estabilidad de los parámetros estimados dentro de un rango del estadístico ordinal u. Sin embargo, idealmente, ambos esquemas deberían ser complementarios: estimadores provenientes del primero necesariamente deben conformar los requerimientos del segundo y viceversa. En este sentido, representar gráficamente las estimaciones de máxima verosimilitud (ML) en función del número de excedentes (Gráfico 2.6) revela que los valores de ξ tienden a estabilizarse aproximadamente desde 200 en adelante, sugiriendo deesta manera u = 201.

2.2.3.3. EVT Condicionado o Dinámico

Es también posible emplear un refinamiento del EVT incondicionado o estático (aplicación expuesta en 2.2.3.1.). Como afirman McNeil y Frey (1999) y Dowd (2005), el modelo EVT está vinculado a alguna estructura dinámica que gobierna el comportamiento del proceso original de retornos. En consecuencia, luego de considerar el modelo principal, el EVT es aplicado a los shocks aleatorios o innovaciones que originan el proceso de retornos original. Este ejemplo particular requiere idéntico análisis para la selección del umbral (Sección 2.2.3.2.), pero considerando que las series de datos evaluadas están constituidas por los residuos estandarizados, luego de ajustar el esquema que controla la dinámica básica. Como resultado, la distinción entre los retornos y los factores aleatorios que operan sobre ellos, significa que el modelo EVT es ahora condicionado o dinámico (Dowd, 2005).

3. Metodología

En esta Sección se tratan aspectos más específicos referidos a los supuestos, provisiones y características del proceso de estimación con el objetivo de realizar la comparación entre diferentes métodos para calcular el VaR a partir de las pérdidas históricas. Adicionalmente, se indaga el efecto que dichos esquemas pueden producir en la constitución del capital regulatorio, entendiendo este en el sentido que le asigna el Comité de Basilea para la Supervisión de Bancos.

Se ha seleccionado una muestra de nueve índices de mercados de capitales: cinco pertenecen a mercados maduros o desarrollados (Suiza, Reino Unido, Alemania, Francia y España) y el resto a mercados emergentes (Indonesia, Israel, México yTurquía). Como en Hansen y Lunde (2005) y Mapa (s/d), las series temporales de los retornos fueron separadas en dos períodos: el primero para la estimación de los parámetros de los modelos y el segundo para la evaluación de los pronósticos realizados con base en ellos:

t = -T ; -T + 1; …; 0t = 1; 2; …; n

En los períodos seleccionados para el proceso de estimación está incluido, encada índice al menos, un evento mundial importante, sin considerar el efecto particular sobre el mismo. Algunos son:

Por otro lado, el período de pronóstico contiene la crisis financiera mundial que comenzó en septiembre-octubre 2008. Este evento constituye una interesante instancia para un test de estrés a efectos de evaluar el desempeño del modelo en tiempo real (Basel Committee on Banking Supervision, 1996, 2004, Jorion, 1999, Penza and Bansal, 2001, Christoffersen, 2003, Dowd, 1998, 2005, JP Morgan and Reuters, 1996 Risk Metrics Technical Document y Osteirrischische Nationalbank, 1999).

Los siguientes factores deben tenerse en cuenta atento a su importancia en la metodología empleada:

- VaR:

Se aplica para su estimación un horizonte temporal de un día, en concordancia con la frecuencia de negociación de los instrumentos analizados. Como afirman Rachev, Menn y Fabozzi (2005), las diferencias en las estimaciones del VaR son significativas para los cuantiles superiores; por lo que el nivel de confianza se ha fijado en el 99%, en sintonía con lo establecido por el Comité de Basilea.

Cualquier representación realista del riesgo debería tener en cuenta la asimetría relacionada con resultados negativos (Rachev, Menn y Fabozzi, 2005). Es por ello que las estimaciones son realizadas por separado para las colas superior e inferior de la distribución, representando así el VaR para posiciones cortas y largas.

- Especificaciones del VaR:

Modelos no-paramétricos - Simulación histórica: los cuantiles empíricos superiores e inferiores son evaluados al 99% con una ventana variable de 1.000 días de negociación.

Modelos paramétricos - Modelos de volatilidad condicionada: los parámetros del GARCH son obtenidos, como es usual, vía ML (Máxima Verosimilitud), usando la distribución de los retornos estandarizados rt/at y aplicando el supuesto típico de normalidad condicionada. Adicionalmente, el estudio también hace uso de la flexibilidad de la técnica empleando la distribución de la t de Student (d) para “engrosar” las colas donde los grados de libertad son d > 2 permitiendo controlar la forma de las mismas. Los cálculos del VaR son realizados empleando el factor √(d-2)/d para expresar una distribución estandarizada t de Student. Las especificaciones precedentes son simétricas: los valores del VaR obtenidos coinciden para ambas colas (aunque con signos opuestos).

Modelos semi-paramétricos:

  1. Teoría de valores extremos incondicionados vía pot: Reiss y Thomas (2007) describen numerosos métodos para obtener los parámetros (del) GDP, pero considerando las ventajas sobre sus contrapartes y la confiabilidad de sus resultados, se utilizan las estimaciones por el método de Máxima Verosimilitud (ml)10. Para una muestra {xt}n la función de probabilidad logarítmica L(ξ;σ;μ/x) para GDP está provista por el logaritmo de la densidad conjunta de todas las observaciones. Se asume que las series analizadas {xt}n son iid. Más allá del hecho que este supuesto no parezca ser típico para las series de tiempo financieras (Ver Sección 4.1), como señalan Bao, Lee y Saltoglu (2003), las representaciones EVT también pueden ser utilizadas para series débilmente dependientes11. Jondeau y Rockinger (2003), agregan que supuesto el índice de cola ξ > -1/2, los parámetros ml tienen una distribución normal condicionada. La teoría asintótica sostiene que si las submuestras son iid, el proceso subyacente de los retornos no necesita ser iid,implicando entonces que la estimación ml de la distribución GEV originará estimadores consistentes aunque los retornos originales no sean iid.
  2. Teoría de valores extremos condicionados vía qml y pot: Dowd (2005),McNeil y Frey (1999) y McNeil, Frey y Embrechts (2005) describen el proceso de aplicación de EVT para obtener modelos ev condicionados. Puede ser descripto concisamente en tres pasos. En primer lugar, se estima algún proceso dinámico (por ejemplo, GARCH (1;1)) por el método Cuasi-Máxima Verosimilitud (qml) McNeil, Frey and Embrechts (2005), es decir, evitando cualquier supuesto sobre la distribución de las innovaciones aleatorias. Este procedimiento es usualmente denominado“pre-withening” (de los datos). Luego se calculan los residuos estandarizados con lo que en esta etapa deben aparecer características de iid. El GARCH dinámico se emplea para predecir los futuros niveles de volatilidad. En segundo lugar, se aplica EVT a los residuos estandarizados (vía pot para este caso específico). Finalmente, se efectúa el cálculo de los valores del VaR considerando tanto la estructura dinámica del GARCH como el proceso de los residuos modelado mediante EVT, como se menciona en 2.1, ecuación [2].

- Validación de las estimaciones del VaR:

Backtesting de la distribución de probabilidad modelada:

La idea subyacente consiste en verificar la consistencia entre el VaR estimado mediante una determinada distribución de probabilidad y las pérdidas reales. Por lo tanto, es necesario comparar la pérdida en un día determinado con el VaR estimado para ese mismo día, definiendo una excepción o violación como cada día en que la pérdida realmente ocurrida excede el VaR diario estimado. Este modelo fue generado por el Comité de Basilea en su Acuerdo de Capital de 1996 y mantenido hasta la fecha. Sintéticamente, establece tres zonas ligadas a la cantidad de excepciones registradas en el período de evaluación, supuesto que el período muestral es estadísticamente representativo. Un valor del VaR pertenece a la Zona Verdey, por lo tanto, es aprobado si el número de violaciones del 1% VaR no excede el cuantil Bernoulli 95% (con p = 0.01); corresponde a la Zona Amarilla y es sujeto aun estrecho control con un número de violaciones hasta el cuantil 99.99% de dicha distribución; y se caracteriza como poco confiable y sujeto a una nueva estimación cuando ocurren más violaciones (Zona Roja). Expresando los conceptos previos en términos del tamaño de la muestra, un modelo aprueba estándares regulatorios cuando ocurre un máximo de 8 violaciones (1.67%) y permanece en duda cuando ocurren entre 9 y 14 excepciones (2.93%).

Test de cobertura incondicionada:

De acuerdo con Christoffersen (2003), su propósito reside en determinar si la diferencia entre la fracción α de violaciones producidas por un esquema de riesgo y la fracción esperada p es estadísticamente significativa. Esta prueba se lleva a cabo a partir de la razón de verosimilitud, que asintóticamente sigue una χ12 cuando el número de observaciones T → ∞:

donde T1 representa la cantidad de excepciones en la muestra (y T0 lo contrario).

No debe ser olvidada la existencia de otras numerosas pruebas. Sin embargo, este estudio se focaliza en el desempeño real de la estimación regulatoria, enfatizando el desempeño de los modelos VaR en las pruebas de backtesting, siguiendo estrictamente las indicaciones del Comité de Basilea (BCBS, 2006, Anexo 10a)12.

4. Contrastación empírica

4.1. Datos

Se utilizarán retornos definidos como

donde Pt+1 es el precio ajustado por flujos de fondos producidos en el período del título en el momento t+1 y el horizonte de tiempo Δt es un día.

Las Tablas N.º 1 y N.° 2 presentan varias estadísticas básicas concernientes a las series de retornos diarios. Pueden apreciarse hechos que son típicos de las series temporales financieras y que tienden a repetirse en distintos activos y mercados. En la Tabla N.º 1 puede apreciarse que para cada mercado, tanto desarrollado como emergente, los p-valores determinados muestran que el promedio diario de retornos no es significativamente distinto a cero, de allí que las representaciones GARCH serán supuestas sin tendencia cuando sea considerada la ecuación de retornos (Ver Sección 2.2.2.). La asimetría constituye un indicador para calibrar el comportamiento de los retornos en las colas. Para todos los índices, excepto el JKSE, toma valores negativos, indicando que las colas izquierdas son más prolongadas que las colas derechas. Consecuentemente, los valores extremos aparentan estar mayormente concentrados en el lado negativo de la distribución, confirmando en principio la asimetría provocada por los cracks bursátiles (Jondeau y Rockinger, 1999). El grado conjunto de altura de la curva de densidad y del ancho de la cola es medido por la kurtosis: para todos los índices considerados su valor excede ampliamente a 3 (FTSE100 11), evidenciando claramente la no normalidad. En la Tabla 2 los correspondientes tests de Jarque-Berare afirman el rechazo intuitivo de la hipótesis nula de normalidad (p-valores = 0). Además, estandarizando las series de retornos para comparar los percentiles empíricos con los teóricos en el supuesto de normalidad, se determina que para cada serie existe una desviación sustancial de la distribución de Gauss. Dichos hallazgos refuerzan la evidencia de distribuciones leptokúrticas, con colas más “gordas” y centros más estrechos que la distribución de Gauss.

Al estudiar las características de la autocorrelación, los valores del test de Box-Ljung portmanteau Q(k) para k = 20 lags (retardos) (téngase presente que Q(k)~χ2k) indican que para el 95% y el 99% no es posible rechazar la hipótesis nula de independencia serial de los retornos lineales. La evidencia probable de una auto-correlación leve (por lo menos) debería tomarse como una advertencia acerca de la utilización del modelo EVT, adoptando el supuesto de iid, aunque (por supuesto) aplican las consideraciones mencionadas en la Sección 3. Resultados análogos se obtienen con retornos al cuadrado, aunque los valores grandes de Q(k) para estos tests sugirieren la presencia de un mayor grado de heterocedasticidad, respaldando en principio la utilización de los modelos de volatilidad condicionada.

4.2. Parámetros del modelo

La Tabla N.° 3 -Paneles A y B- muestra los resultados del proceso de estimación, siendo significativos los estadísticos para el nivel de confianza habitual de acuerdo con indicado por sus p-valores. Las parametrizaciones del GARCH para todas lasseries, realizan un trabajo fundamental removiendo la alta dependencia temporal en la varianza. Comparando los datos de la Tabla 2 con los de la Tabla 4 puede verificarse que existe una importante reducción en el estadístico Q220 para los residuos cuadráticos estandarizados εˆ t 2/ σˆ t 2 comparados con los retornos cuadráticos puros o brutos, hecho verificado tanto para los mercados maduros como para los emergentes. Por ejemplo, el valor Q220 para DAX (serie con el mayor nivel de autocorrelación cuadrática) cae de 3830,1 a 2,23 para la especificación normal ya 2.17 para la de la t de Student(d). El comportamiento del resto de los índices es similar. A efectos de poder aseverar la adecuación de las representaciones GARCH,las series de residuos estandarizados deben conformar un proceso SWN13. Esto es habitualmente corroborado aplicando el test Ljung-Box portmanteau a los valores absolutos o cuadrados de las series: los p-valores para todos los índices sugieren la presencia de un proceso SWN.

Los coeficientes GARCH muestran una característica común observada en series de retornos de alta frecuencia: un alto grado de persistencia. Para todas las series en ambos grupos los valores de αˆ + βˆ son claramente mayores que 0.90, alcanzando 0.99 para DAX , FTSE100 e IGBM (Student - t(d)), casi en el punto del modelo IGARCH ((αˆ + βˆ)= 1) adecuado para series temporales no estacionarias ver Tabla 3. La consecuencia es que las varianzas condicionales son procesos con memoria de muy largo plazo dado que los efectos de los shocks sobre la volatilidad declinan suavemente con el tiempo. También surge claramente de los coeficientes del modelo GARCH que la volatilidad está principalmente explicada por los últimos períodos de los pronósticos de la varianza representados por el coeficiente βˆ que mide la extensión de la persistencia del shock: cuanto más cerca de 1 esté, las observaciones pasadas adquieren mayor peso relativo en detrimento de las más recientes, produciendo entonces series muy suaves. La Tabla N.° 4 -Paneles A y B- muestra también una reducción sustancial de la kurtosis en los residuos estandarizados, no obstante locual puede ser verificada la presencia de kurtosis no capturada. Sin embargo, en los casos SMI, DAX y IGBM los modelos parecen haber fallado en reducir el exceso de kurtosis: podría hallarse una posible solución intentando ajustar un modelo GARCH con más retardos o bien alguna extensión a la clase del GARCH (McNeil, Frey and Embrechts, 2005).

Como fuera mencionado precedentemente, dada la evidencia razonable que los residuos estandarizados se comportan como SWN, la hipótesis SWN no es rechazada y la dinámica del proceso es capturada satisfactoriamente (McNeil, Frey y Embrechts, 2005). Por lo tanto, la adecuada elección de la distribución empleada para el ajuste por ml puede también ser evaluada por medio de los gráficos cuantil-cuantil (QQ plots). En este sentido, el Gráfico N.º 4.1 revela que los modelos con las innovaciones distribuidas segúnla t(d) de Student claramente ajustan mejor a los datos siendo entonces preferidos a los modelos con términos aleatorios distribuidos normalmente, hecho que debería reflejarse en el momento de realizar el Backtesting. Sin embargo, pueden advertirse desviaciones de la distribución t(d) de Student para todas las series consideradas, particularmente en la cola inferior.

Los resultados ML para los esquemas EVT-GDP de EVT incondicionado están presentados en la Tabla N.° 5 Paneles A y B. A pesar de la ausencia de reglas precisas referidas a la cantidad de estadísticos de altos órdenes, se usan menos del 10% de los datos para el análisis de los extremos, aun considerando ambas colas de la distribución. Infortunadamente no resulta posible extraer conclusiones generales con base en las estimaciones de locación y de escala; por lo tanto, deben emplearse tanto la inspección visual como los test formales para determinar diferencias en las colas correspondientes a los mercados maduros y emergentes. Es posible reconocer que solo con estos elementos, no se aprecian diferencias claras.

Sin embargo, los valores de a+ y a+ muestran diferencias con sus contrapartes izquierdas a -y a -para todos los índices, hecho que, acoplado a las estimaciones del índice de cola ξ, podría indicar la existencia de asimetría entre las colas derecha e izquierda de la distribución. Habiendo señalado la disparidad en términos de locación y escala, debe ser tratado el caso del índice de cola. De los valores obtenidos surge claramente que ambas colas de las distribuciones son anchas para todos los grupos (ξ> 0). Registros positivos para ξ- y ξ+ significan que las distribuciones son de cola pesada en ambos extremos y, en consecuencia, pertenecen a laclásica Distribución General de Pareto (GDP), en particular la que corresponde a la familia Fréchet en la Teoría de Valores Extremos (evt)14. Además, excepto para el caso del JKSE donde ξ- y ξ+ son aproximadamente similares (0.1609 y 0.1586), los valores para los ocho índices restantes sugieren una apreciable diferencia entre las colas izquierda y derecha, aunque no es posible hacer afirmaciones más precisas sin realizar pruebas formales. Para este ejemplo particular, cinco índices muestran ξ-< ξ+, lo que implica que la cola derecha es menos ancha que la izquierda. Por el contrario, FTSE100, CAC40 y IGBM presentan la relación opuesta. Los intervalos de confianza al 95% muestran que, en primera instancia, la mayoría de los valores de ξ aparentan ser positivos, hecho consistente con la idea de distribuciones no acotadas, aunque la existencia de un lado negativo del rango no puede ser ignorada (excepto la cola izquierda del FTSE100, CAC40, IGBM y IPCC y la cola derecha del SMI y IPCC, donde el intervalo está completamente inclinado hacia la derecha). El estudio no es concluyente respecto a este tema dado que existe solo evidencia débil para excluir valores cero para ξ y consecuentemente rechazar la hipótesis nula ξ = 0 (distribución tipo exponencial). Del análisis anterior, no es posible inferir diferencias significativas entre los mercados desarrollados y los emergentes.

Como se expresó en los primeros párrafos, aunque las probabilidades de Gaussy de Student-t tuvieron un razonable buen desempeño modelando la dinámica del proceso, los residuos estandarizados en los gráficos QQ no se comportan como iid normal estándar o Student-t estandarizada, dando lugar al análisis expuesto en 3. Los resultados para EVT aplicados a los datos pre-whitened son algo diferentes a aquellos obtenidos con los retornos sin tratar (Tabla N.° 5 -Paneles C y D -). Nuevamente, no se registran evidencias concluyentes respecto a la locación izquierda y derecha como así tampoco a parámetros de escala, dificultando consecuentemente las conclusiones sobre diferencias entre grupos de mercados. Las variaciones aparecen en los índices de cola dado que se ha observado, en general, un aumento de ξ-. En general, se verifica un aumento de ξ-(excepto el descenso en FTSE100 y IPCC ), más la disparidad es el común denominador entre los ξ+, con intervalos de confianza que reflejan este desplazamiento lateral. McNeil, Frey y Embrechts (2005) ofrecen una explicación plausible sobre la divergencia en los resultados, al establecer que el proceso de qml es intrínsecamente más impreciso que el ml porque conlleva dos clases de errores: estimación dinámica (ajuste GARCH) y calibración de GDP de los residuos estandarizados. Agregan que errores en la estimación en qml pueden crecer de tal manera que pueden llegar a ser muy difíciles de rastrear y cuantificar, implicando así en alguna medida valores inexactos de los parámetros.

No obstante, las fallas en la etapa de ajuste del modelo, los hechos antes mencionados confirman, en principio, la evidencia de distribuciones asimétricas y leptokúrticas características de las series de retornos financieros, mostrando entonces que la distribución normal es inadecuada para describir el comportamiento del mercado15. Así es que los modelos basados en EVT tienen la ventaja de tomar encuenta la asimetría de las distribuciones originando, de esta manera, prediccionesmás exactas.

4.3. Pronósticos del VaR

La crisis global que comenzó en septiembre de 2008 y afectó ostensiblemente los mercados financieros constituye un buen test de estrés para evaluar los modelos utilizados. En este sentido, es importante resaltar que en 2008 (segundo año del período de prueba o backtesting) la volatilidad (medida por la desviación estándar) se duplica en promedio en comparación con el período de estimación: SMI: 2.21% vs. 1.12%, FTSE100: 2.36% vs. 1.02%, DAX: 2.37% vs. 1.40%, CAC40: 2.51% vs. 1.31%, IGBM: 2.39% vs. 1.13%, JKSE: 2.48% vs. 1.84%, TAS : 2.38% vs. 1.45%, IPCC: 2.28% vs. 1.64%, verificándose que el incremento es algo menor para los mercados emergentes por su inherente naturaleza volátil. La única excepción es el índice ISE donde la volatilidad decrece desde 2.90% a 2.67%16.

Los resultados mostrados en la Tabla N.º 6, Columnas 2 y 4, Paneles B aK, revelan que el desempeño varía según los modelos y los supuestos referidos a la distribución. Es evidente que el modelo HS no condicionado tiene un resultado muy pobre, ya que se originan muchas violaciones en ambas colas mientras que el resto provee estimaciones adecuadas para las colas superiores de todas las distribuciones, exceptuando el EVT condicionado para Francia y el GARCH-Normal para IGBM. Al considerar la cola izquierda se verifican serios déficits enel GARCH-Normal,yaque el número de violaciones supera el valor esperado (la diferencia es apreciable para GARCH-Normal en FTSE100, IGBM, JKSE, y TAS, donde las excepciones aproximadamente triplican la cantidad esperada de 5). GARCH-t aparenta funcionar mejor, alternando resultados razonables con algunos deficientes (FTSE100). Sinembargo, los modelos no hacen distinción entre mercados maduros y emergentes. Los procedimientos basados en el modelo EVT muestran mejoras significativas en ambas versiones: exceptuando las colas derechas en SMI y CAC40 en el EVT condicionado, el modelo EVT brinda entre 0 y 5 infracciones (número menor o igualque el esperado), resultando un excelente desempeño al 99% de confianza. Estos métodos son especialmente concebidos para modelar cambios violentos en los mercados: el EVT no condicionado, como toda representación incondicionada, es más adecuado para períodos largos de pronóstico mientras que el EVT condicionado, siendo un método condicional, es capaz de responder a los abruptos cambiosen la volatilidad durante el 2008.

4.4. Efectos en la regulación del capital

La evaluación (backtesting) de la Distribución de Probabilidad Ajustada muestra la incapacidad de la simulación histórica para captar los movimientos ascendentes y descendentes de los índices, ya que sus valores pertenecen claramente a la zona roja. Por el otro lado, los modelos GARCH condicionados, con distribuciones de Gauss y t(d) de Student arrojan buenos resultados para todos los extremos positivos, con cantidades de excepciones clasificadas en la zona verde, con la única excepción del índice IGBM para GARCH-Normal (zona amarilla). En la cola izquierda se observan resultados diversos. GARCH-t tiene resultados ligeramente mejores que el GARCH-Normal, obteniendo uno en la zona roja (FTSE100), cinco en la zona verde (DAX, CAC40, IGBM, IPCC y ISE) y tresen la zona amarilla (SMI, JKSE y TAS), mientras que su contraparte provee tres resultados en la zona roja (FTSE100, JKSE y TAS ), tres en la zona verde (CAC40, IPCC y ISE) y cuatro en la zona amarilla (SMI, DAX y IGBM). Casi todos los modelos, con excepción del de simulación histórica, podrían aprobar los tests regulatorios para posiciones cortas, pero la simulación histórica para Turquía, el GARCH-Normal en España y el GARCH-EVT en Francia eventualmente deberían ser inspeccionados. Por el contrario, para las posiciones largas el modelo de la simulación histórica siempre sería rechazado, al igual que ambos GARCH para el FTSE100. Las innovaciones basadas en la t(d) de Student tendrían garantizada su aprobación en Alemania, Francia, España, México y Turquía y serían observados en Suiza, Indonesia e Israel. Los shocks aleatorios normales podrían ser aprobados en Francia, México y Turquía, estudiados en Suiza, Alemania y España y (serían) rechazados en Indonesia e Israel. Los modelos EVT (condicionados o no condicionados) otorgan incuestionables mejores resultados: tanto para posiciones cortas y largas como en mercados emergentes y desarrollados siempre se encuentran ubicados en la Zona Verde, excepto para la cola derecha en Francia donde el EVT condicionado sería puesto bajo análisis.

La importancia de la evaluación (backtesting) de la Distribución de Probabilidad Ajustada reside en su uso para la determinación de la Cantidad de Capital Regulatorio que debe constituirse para hacer frente al Riesgo de Mercado. El Comitéde Basilea prevé la aplicación de un factor (o multiplicador) variable con valores entre 0 y 1, dependiendo la citada cantidad del desempeño del modelo en la prueba (backtesting) ya mencionada. La Tabla N.° 6 -Columnas 3 y 5 en Paneles B a K- muestra el porcentaje de capital adicional que debe ser aportado para cumplir con las regulaciones: 33% para aquellos valores dentro de la zona roja, importes entre el 13% y el 30% para el rango amarillo y la zona verde no requiere aportar capital suplementario.

Para la simulación histórica el resultado es el 33% de ajuste y su consecuente invalidez en todos los índices para ambas posiciones (cortas y largas) excepto en ISE (23%). Las posiciones cortas no demandan capital adicional para cualquiera de los otros modelos, con las excepciones del GARCH-Normal en IGBM (13%) y GARCH-EVT en CAC40 (16%). Para inversiones en posiciones largas aparecen algunas diferencias con una leve ventaja para GARCH-t sobre GARCH-Normal que se traduce en un menor ajuste de capital, salvo en los casos del FTSE100 donde ambas especificaciones serán descartadas y subsecuentemente re-estimadas, y del CAC40, IPCC e ISE, en los que ambos modelos superan los test regulatorios. Para el resto de las series temporales evaluadas, las innovaciones GARCH-t requerirían menores ajustes de capital (valores gaussianos entre paréntesis): SMI , 13% (23%), DAX , 0%(13%), IGBM 0% (30%), JKSE, 16% (33%, necesidad de reformular el modelo), y TAS 20% (33%, necesidad de remodelación). Los modelos EVT, tanto el no condicionado como el GARCH-EVT dinámico, aprueban el test convincentemente, evitando, enconsecuencia la recalibración o el control estricto con la sola excepción de la cola superior del CAC40 en EVT condicionado, donde será requerido un capital suplementario del 16%.

El Comité de Basilea requiere el test de cobertura no condicionada para evaluarlas diferencias ente las fracciones de excepciones empíricas y las propuestas, cuyos p-valores se encuentran reproducidos en la Tabla N.° 7. Los resultados que surgen de las razones de verosimilitud son consistentes con la evaluación (backtest) de la distribución de probabilidad Ajustada, como era de esperar18. La hipótesis nula a = p, calculada a un nivel de confianza del 90%, es rechazada para todos los casos que caen tanto en la zona roja como en la amarilla. Las estimaciones que pertenecen a la región verde coinciden en que la hipótesis nula es aceptada.

4.5. Niveles del VaR

El Gráfico N.º 4.2 muestra, en tiempo real, las estimaciones del VaR para los modelos propuestos, observándose que se encuentran severamente afectadas por las fluctuaciones del año 2008. Es posible apreciar que los modelos basados en la teoría de valores extremos realizan el mejor trabajo para cuantificar el riesgo de mercado, originando así menores pérdidas en comparación con HS o GARCH-Normal y GARCH-t. Sin embargo, como la cantidad de excepciones registradas por cualquier modelo es inversamente proporcional a los montos del VaR, la mayor precisión mostrada por el EVT se consigue a expensas de valores más altos del VaR. Aun cuando estos pueden inicialmente aparecer algo excesivos, Alexander (2008,60) señala que“… carteras accionarias con volatilidades del 40%-60% pueden tener … un VaRde alrededor del 25% del valor del portafolio”. Considerando que los reguladores determinan los requerimientos del capital (CR) de acuerdo con la fórmula:

CR = 3*(1 + q)*VaR + C [8]

donde:

3:factor multiplicativo de escala
q:factorde incremento (0≤q≤1)
C:constante

Este estudio concuerda con las reflexiones de Danielsson y de Vries (1997,21), en el sentido que “… el método EV brinda resultados cercanos al valor esperado, sugiriendo que la constante debe ser cercana a uno si es utilizado para el VaR el modelo EV. Mientras que se justificaría un alto factor de escala para la estimación de las colas en el caso normal, el factor multiplicativo puede ser mucho menor si se lo hace con el método EV”.

5. Conclusiones

A pesar de sus fallas teóricas, el VaR es un estándar en el sector financiero. Dentro del rango de sus posibles aplicaciones, el Comité de Basilea permite a las instituciones financieras emplear su propio modelo de estimación del VaR para determinar sus requerimientos de capital. Si las empresas sobreestiman el VaR, sus accionistas probablemente las penalicen, mientras que los reguladores harán lo mismo en caso de una subestimación, de donde se deduce la importancia de la exactitud de su cálculo.

Este estudio explora, en algunos mercados tanto desarrollados como emergentes, varias técnicas relacionadas con la estimación del VaR para ambas colas de la distribución de ganancias y pérdidas (P&L). Los eventos ocurridos en el último trimestre de 2008 proveen una excelente posibilidad de evaluación (backtest) en tiempo real.

Los típicos modelos no-paramétricos como la simulación histórica no han brindado un razonable buen ajuste dado que tienen implícito el supuesto simplificador que la distribución empírica pasada determina la futura, falla que no puede ser enmendada por muestras con ventana móvil. Los modelos de volatilidad condicionada deberían, en principio, reflejar la autocorrelación presente en los cuadrados de los retornos, que es una característica común de la mayoría de las series temporales financieras. Sin embargo, como se afirma en McNeil y Frey(1999), las innovaciones distribuidas normalmente son incapaces de capturar la distribución leptokúrtica de los residuos; las innovaciones modeladas empleando una distribución Student-t(d) funcionan ligeramente mejor, pero aún subestiman las verdaderas exposiciones, alertando así sobre las implicancias que pueden traer estos supuestos. Al igual que Jondeau y Rockinger (2003), este estudio no ha sido concluyente acerca de las diferencias entre los parámetros de cola de una misma serie (índice), y las evidencias de diferencias entre países desarrollados y emergentes no son claras respecto de las estimaciones EVT. Ello indicaría, inicialmente, que los eventos extremos no ocurren con la suficiente frecuencia como para provocar diferencias estadísticamente significativas entre las colas derecha e izquierda. Además, los mencionados autores citan una posible explicación dada por Campbell y Hentschel (1992): dado que los precios de las acciones están influidos por las nuevas informaciones, los valores al alza son suavizados por el incremento en el premio al riesgo demandado por la alta volatilidad; en cambio, el movimiento descendente que tiene lugar cuando los precios de las acciones bajan como resultado de las malas noticias se ve amplificado por el incremento en el premio al riesgo. Apesar de la aparente imprecisión estadística, el EVT-GDP surge como una importante contribución para estimar el VaR en vista de su reconocimiento de la asimetría (esto es, flexibilidad para modelar las colas derecha e izquierda de las distribución por separado). Además se registran indicios de que las distribuciones Normal y Student-t(d) son capaces de capturar las ganancias, pero su desempeño es deficiente en el evento de pérdidas. Consecuentemente, cuando la distribución de la muestraes asimétrica, existe alguna evidencia de que no sería apropiado utilizar modelos que tratan la volatilidad como un fenómeno simétrico. Su muy buen desempeño en numerosas pruebas de evaluación (backtesting) sugiere que deberían ser empleados los ajustes de cola ancha mediante GDP (condicionado o no) para representar las colas independientemente del cuerpo de la distribución.

La crisis financiera que comienza en septiembre de 2008 aparenta haber erosionado algunos fundamentos teóricos: una prueba de evaluación (backtesting) de un período parece más un ejercicio de simulación de estrés que un chequeo en tiempo real (Véase Osteirrischische Nationalbank (1999) para una amplia exposición acerca de los test de estrés).

Aún cuando es prematuro efectuar afirmaciones definitivas, resulta factible que se haya producido un cambio en las distribuciones de los retornos puesto que los eventos extremos parecen haberse tornado más probables. Es posible notar que tanto mercados emergentes como desarrollados registran en la actualidad similares movimientos violentos de alzas y bajas, que antes eran característica típica de los primeros (SMI 10.79% y -8.11%, FTSE 9.38% y -9.27%, DAX 10.80% y -7.43%, CAC40 10.59% y -9.47%, IGBM 9.87% y -9.68%, JKSE 7.26% y -10.95%, TAS 9.71% y -10.54%, IPCC 10.44% y -7.27%, ISE 12.13% y -9.01%), resultando que dichos saltos parecen contribuir a hacer difusa la distinción estadística entre ambos grupos. En general, esa clase de movimiento no está incluida en los períodos de muestra (excepto la crisis de octubre de 1987 en FTSE100 y IGBM), siendo en consecuencia ignorados por la simulación histórica y no contabilizados por las distribuciones Normal y Student-t(d). El método EVT, al modelar las colas solamente en forma paramétrica, consigue la evaluación del riesgo de pérdidas no observadas al permitir, con fundamentos estadísticos firmes, la extrapolación más allá del rango de datos.

Teniendo en cuenta las aseveraciones previas, parece razonable afirmar que la adopción de una metodología basada en los valores extremos de la distribución de los retornos -EVT: Extreme Value Theory- podría haber proporcionado a los bancos el colchón de capital suficiente ya sea para soportar la crisis financiera o para evitar los consiguiente cargos por penalización de backtesting que debieron realizar, tanto en mercados maduros como en emergentes. Por el contrario, otros métodos de estimación del VaR o la simple aplicación del método estándar (SA) parecerían ser incapaces de repetir el desempeño de EVT, apesar de ser elegibles para la determinación de MCR.

Por otra parte, si bien Basilea III endureció la postura referida a la constitución de capital, sus disposiciones parecen distorsionar los incentivos para implementar modelos de VaR más precisos. La introducción del SVaR aparenta penalizar excesivamente las distribuciones de cola pesada, mientras que simultáneamente ayuda a que con las otras distribuciones inexactas se alcancen niveles de capital similares o aún inferiores. La combinación de esto con la ausencia de fuertes modificaciones a la sa alentaría a los bancos a adoptar métodos que pueden subestimar los MCR en tiempos de crisis, lo que podría aumentar los riesgos sistémicos. Un posible resultado de este estudio sería entonces la manifestación de la posible utilidad práctica de investigarla conveniencia de la aplicación obligatoria de modelos leptokúrticos en los Acuerdos de Basilea, con el fin de mejorar los incentivos para aumentar la precisión de los modelos, evitando, de dicho modo, las insuficiencias de capital en los períodos de crisis financieras.


Anexos

Anexo 1 Pruebas de cobertura incondicionada y condicionada: ratios de verosimilitud

1. Evaluación de métricas de riesgo de mercado empleando la distribución binomial Test de cobertura incondicional LRuc

El ratio de cobertura incondicionada LRuc se encuentra diseñado para probar la hipótesis que indica que la fracción de excepciones obtenidas para un modelo en particular es significativamente diferente de la proporción propuesta (1%). De acuerdo con Kupiec (1995), asumiendo que las estimaciones del VaR son precisas, las excepciones pueden ser modeladas como extracciones independientes de una distribución binomial con probabilidad de ocurrencia igual a 1%. Las estimaciones precisas del VaR deberían reflejar la propiedad que su cobertura incondicional αˆ = x/250 iguale 1%, donde x representa el número de excepciones. Teniendo encuenta la probabilidad de observar x excepciones en una muestra de tamaño n, la hipótesis nula será:

mientras que el test de verosimilitud para probar si αˆ = 0.01 resulta:

Debe notarse que el test de cobertura incondicionada LRuc es uniformemente más poderoso para un tamaño de muestra dado, siendo su distribución χ2(1).

Sin embargo, el tamaño de muestra finito y la potencia del test resultan de particular interés. En relación con el tamaño muestra finito, López (1999) marca que la distribución de LRuc para los parámetros especificados puede diferir de χ2(1), al punto que los valores asintóticos podrían resultar inapropiados. En lo atinente al segundo factor, Kupiec (1995) advierte que la potencia de la prueba LRuc para distinguir entre hipótesis alternativas es limitada.

2. Evaluación de métricas de riesgo de mercado utilizando el intervalo de pronóstico

2.1. Test de Independencia LRind

Christoffersen (2003) afirma que la prueba de independencia podrá rechazar con significación estadística un modelo con excepciones agrupadas, constituyendo entonces el ratio que evalúa la hipótesis nula de independencia serial contra la alternativa de dependencia de Markov de primer orden. La función de verosimilitud de esta hipótesis alternativa es:

donde Tij denota el número de observaciones en el estado j, luego de haberse encontrado en el estado i previamente, π01 = T01/(T00 + T01) y π11 = T11/(T10 + T11). Bajo la hipótesis nula de independencia es π01 = π11 = π, con lo cual la función de verosimilitud se transforma en:

donde π = (T01 + T11)/250. El estadístico LRind, es, finalmente,

que sigue una distribución χ2(1).

2.2. Test de cobertura condicionada LRcc

Christoffersen (2003) menciona al ratio de cobertura condicionada LRcc como el estadístico que permite probar, de modo simultáneo, si las excepciones a las estimaciones de VaR son independientes y si el promedio de dichas excepciones esla correcta.

La prueba LRcc constituye una prueba de la corrección de la cobertura condicionada. Para un valor estimado, la función Indicador Imt+1 que determina si una excepción ha acontecido se escribe como:

Dado que las estimaciones precisas exhiben una correcta cobertura condicionada,la serie Imt+1 debe poseer una correcta cobertura incondicionada e independencia serial (ambas).

Siendo entonces un test conjunto de la hipótesis incondicionada y de la de independencia, el estadístico relevante es LRcc = LRuc + LRind, que se distribuye asintóticamente siguiendo Pr. Siguiendo a Christoffersen (2003),

Basándose en las enunciaciones arriba descritas, se efectuó el análisis de los ratios de cobertura LRuc, LRind y LRcc para cada uno de los mercados (cola izquierda y derecha) utilizando los modelos empleados, obteniéndose los siguientes resultados:

De los cuadros expuestos puede colegirse la superioridad de los modelos relacionados con la teoría de valores extremos, tanto en su variante incondicionada como en la condicionada aplicada sobre un modelo GARCH, en cuanto al rechazo oal no rechazo de las hipótesis nulas de cobertura incondicionada, independencia de excepciones y cobertura condicionada. Nótese que los rechazos aislados en la hipótesis nula de cobertura incondicionada registrados para los modelos EVT (ej., DAX en la cola izquierda para EVT condicional y SMI en la cola derecha para EVT incondicional), no invalidan los resultados obtenidos en la prueba Backtesting, mientras que, para el resto de los modelos (GARCH-Normal, GARCH-t o Simulación Histórica), parecen refrendar la performance de dicha prueba recomendada por el Comité de Supervisión Bancaria de Basilea.


Anexo 2 Escalamiento de la volatilidad

En relación con el escalamiento de la volatilidad, mediante el empleo del método de la raíz cuadrada, la metodología utilizada en los cálculos de la Tabla 6 es la adecuada a las estipulaciones de los Acuerdos de Basilea.

En tal sentido, debe distinguirse entre la prueba Backtesting (realizada en este artículo) y el cálculo de los requisitos de capital mínimo (no incluido en el estudio), ya que la prueba Backtesting debe llevarse a cabo considerando la volatilidad diaria, mientras que el Comité de Basilea indica que el cálculo de los requisitos de capital mínimo debe encararse escalando la volatilidad diaria aun período de tenencia de 10 días, multiplicando la volatilidad diaria por la raíz cuadrada de 10.

El Comité de Basilea estipula que, para la prueba Backtesting, debe indagarse si el porcentaje observado de resultados cubierto por la medida de riesgo -en este caso el VaR- resulta consistente con un nivel de confianza del 99%. Adicionalmente, debe considerarse que las posiciones al final del día en una cartera determinada son, también, endógenas a los modelos de riesgo,los que evalúan el cambio posible en el valor de esta cartera estática motivado por las variaciones en los precios durante el período de tenencia asumido, complicando, entonces, el desarrollo de la prueba Backtesting. El Comité de Basilea (2006) enfatiza que el VaR no puede ser comparado con los valores reales del portafolio puesto que estos están inevitablemente “contaminados” por los cambios en la composición de la cartera durante el período de tenencia19. Dicho argumento aplica al empleo de medidas VaR calibradas a períodos más prolongados que un día y, entonces, la comparación de las medidas de riesgo escaladas a 10 días y calculadas al 99%, provenientes de los modelos internos de requerimientos de capital, con los resultados reales de la cartera durante idéntico lapso (10 días), no constituyen un ejercicio significativamente útil debido a los cambios en la composición de las carteras durante el período de 10 días. En atención a los motivos previamente expuestos, el Backtesting expuesto en el Acuerdo de Basilea utiliza “… medidas de riesgo calibradas a un período de tenencia de un día. Dado el uso de medidas de riesgo de un día, resulta apropiado el empleo de resultados de mercado de un día como benchmark durante la prueba Backtesting” (BCBS, 2006,325).

En atención a las estipulaciones del Comité de Basilea sucintamente expuestas, el Backtesting se computa en este artículo comparando el VaR diario correspondiente a cada modelo interno contra las pérdidas y ganancias reales diarias delportafolio (índices accionarios).


Pie de página

1 http://www.bis.org/.

2 En estas circunstancias VaRt+Δt se expresa en porcentaje como una tasa de rentabilidad y noen unidades monetarias como en la definición (a).

3 Una serie temporal es estacionaria si su valor medio y desviación estándar son constantes (no dependen del tiempo). Informalmente puede decirse que sus propiedades fundamentales no varían a lo largo del tiempo.

4 Ignorando, en consecuencia, eventos que son plausibles, pero que no han ocurrido en el período muestral.

5 El coeficiente α de la fórmula [4] es distinto y no tiene relación con el nivel de significación α en las fórmulas [1], [2] y [3].

6 No es necesariamente la desviación estándar.

7 No es necesariamente el valor medio.

8 Ver la siguiente sección 2.2.3.2

9 Un procedimiento análogo se utilizó tanto para las colas positivas como negativas de cada índice.

10 Se ha realizado una comparación entre los diversos métodos. Los resultados obtenidos mediante los estimadores de Hill, M (GP1), Moment (GP), L-Moment (GP) y Drees-Pickands (GP), están disponibles para enviar a los interesados.

11 Algunas soluciones alternativas para tener en cuenta la dependencia en los datos pueden ser elcálculo del índice extremo θ o el filtrado de los datos originales mediante algún modelo de volatilidad condicional para aplicar EVT a la serie de residuos estandarizados e independientes. Véase, por ejemplo, a Danielsson (1997) y Brooks (2003).

12 Véanse en el Anexo 1 otras pruebas de cobertura incondicionada y condicionada.

13 Strict White Noise. El ruido blanco es un caso particular de proceso estocástico en el cual las variables aleatorias que lo forman no están correlacionadas y su valor esperado es cero.

14 Ver la sección 2.2.3.1.

15 Fama (1963) y Mandelbrot (1963) produjeron importantes estudios acerca de la no normalidad de las series financieras. A pesar que este concepto es corriente en la actualidad, aún algunos analistas continúan usando modelos gaussianos al realizar ajustes como el VaR de Cornish-Fisher o bien otros procedimientos ad-hoc. Al respecto puede consultarse Da Costa Lewis (2002), Christoffersen (2003) o Penza y Bansal (1999).

16 Los valores del período de estimación están influidos por la crisis financiera turca de 2000-2001.

17 Una explicación de la metodología utilizada para el escalamiento de la volatilidad en el proceso de Backtesting, siguiendo estrictamente las directivas del Comité de Basilea, puede verse en el Anexo 2.

18 En la cola superior de SMI para EVT condicional se produce la única discrepancia, ya que la cantidad empírica de 7 violaciones se encuentra casi sobre el umbral de 8. Las autoridades deberían decidir la aplicación de ajustes adicionales en el modelo, no obstante, el hecho que no se requiera capital adicional no debe ser descuidado.

19 No correspondería, en este caso, la inclusión de fees de gestión conjuntamente con las pérdidas y ganancias de la cartera ya que no se encuentran directamente relacionadas con el riesgo inherente en el portafolio sobre el cual fue estimado el VaR.


Bibliografía

Alexander, C. (2008). Market Risk Analysis Volume IV: Value-at-Risk Models, John Wiley & Sons Ltd., The Atrium, Southern Gate, Chichester, West Sussex, United Kingdom.

Balkema, A.A. and DeHaan, L. (1974). Residual lifetime at great age, Annals of Probability 2, pp.792-804.

Bao, L., Lee, T-H., and Saltoğlu, B. (November 2004). Evaluating Predictive Performance of Value-at-Risk Models in Emerging Markets: A Reality Check, available at http://www.gloriamundi.org.

Basel Committee On Banking Supervision, (1996), Amendment to the Capital Accord to Incorporate Market Risks, Bank for International Settlements, Basel, Switzerland.

Basel Committee On Banking Supervision, (June 2004), International Convergence of Capital Measurement and Capital Standards, Bank for International Settlements, Basel, Switzerland.

Beder, T. S. (1995). VaR: Seductive but Dangerous, Financial Analyst Journal, September-October, pp. 12-24.

Beirlant, J., Vynckier, P., and Teugels, J.L. (1996). Tail Index Estimation, Pareto QuantilePlots and Regression Diagnostics, Journal of the American Statistical Association 91 (436), pp. 1659-1667.

Bollerslev, T. (1986). Generalized Autoregressive Conditional Heteroskedasticity, Journal of Econometrics, 31, pp. 307-327.

Bollerslev, T., Engle, R. F., and Nelson, D. (1994). arch Models, in R. F. Engle and D. L. McFadden Eds., Handbook of Econometrics, Vol. 4, pp. 2959-3038, North Holland, Amsterdam, Netherlands.

Brooks, C., Clare, A. D., and Persand, G. (2000). An EVT Approach to Calculating Risk Capital Requirements, Discussion Papers in Finance 2000-2007, Isma Centre, University of Reading, Reading, United Kingdom.

Brooks, C., Clare, A. D.,DallaMolle, J. W., and Persand, G. (December 2003). A Comparison of Extreme Value Theory Approaches for Determining Value at Risk, Forthcoming, Journal of Empirical Finance.

Campbell, J. Y., and Hentschel, L. (1992). No News is Good News: An Asymmetric Model of Changing Volatility in Stock Returns, Journal of Financial Economics, 312, pp. 281-318.

Christoffersen, P. (2003). Elements of Financial Risk Management, Academic Press, New York, United States.

Christoffersen, P. F. (2003). Elements of Financial Risk Management, First Edition, Academic Press, New Jersey, United States.

Coles, S. (2001). An Introduction to Statistical Modeling of Extreme Values, Springer Series in Statistics, Springer-Verlag London Limited, Berlin, Germany.

Coronel-Brinzio, H. F., and Hernandez-Montoya, A. R. (November 2004). On fitting the Pareto-Levy distribution to stock market index data: selecting a suitable cutoff value, Facultad de Física e Inteligencia Artificial, Universidad Veracruzana, Xalapa, Veracruz, Mexico.

Da Costa Lewis, N. (2003). Market Risk Modelling, RISK Books, Risk Waters Group Ltd., London, United Kingdom.

Danielsson, J. and DeVries, C. (September 1997) Value-at-Risk and Extreme Returns,available at http://www.gloriamundi.org.

Danielsson, J., P. Hartmann y C. DeVries. (1998). The Cost of Conservatism: Extreme Returns, Value-at-Risk and the Basel ‘Multiplication Factor’. January 1998 issueof risk.

Danielsson, J., Hartmann, P. and DeVries, C. (January 1998). The Cost of Conservatism:Extreme Returns, Value-at-Risk and the Basle ‘Multiplication Factor’, January 1998issue of risk, also available at http://www.gloriamundi.org.

Danielsson, J. and DeVries, C. (August 1999). Using a Bootstrap Method to Choose the Sample Fraction in Tail Index Estimation, available at http://www.gloriamundi.org.

Danielsson, J., P. Embrechts, C. Goodhart, C. Keating, F. Muennich, O. Renault y H. S.Shin. (2001). An Academic Response to Basel ii, Special Paper N.o 30, lse Financial Markets Group, esrc Centre, London, United Kingdom.

Danielsson, J. (2004). The Emperor has no Clothes: Limits to Risk Modelling, in SZEGÖ, G., (ed.). Risk Measures for the 21.t century, John Wiley & Sons, West Sussex, United Kingdom.

Danielsson, J., and Zigrand, J. P. (July 2005). On time-scaling of risk and the square rootof-time rule, Department of Accounting and Finance and Financial Markets Group, London School of Economics, London, United Kingdom.

Donnelly, C. and Embrechts, P. (2010). The devil is in the tails: actuarial mathematics andthe subprime mortgage crisis, Astin Bulletin 40(1), pp. 1-33.

Dowd, K. (1998). Beyond value at risk: the new science of risk management, Wiley seriesin Frontiers in Finance, John Wiley & Sons Ltd., Chichester, West Sussex, United Kingdom.

Dowd, K. (2005). Measuring Market Risk, Second Edition, Wiley series in Frontiers inFinance, JohnWiley & Sons Ltd, Chichester, West Sussex, United Kingdom.

Embrechts, P., Klüppelberg, C., and Mikosch, T., (1997), Modelling Extremal Events for Insurance and Finance, Springer-Verlag, Berlin Heidelberg, Berlin, Germany.

Fama, E. F. (1965). The Behavior of Stock Market Prices,Journal of Business, 38, pp. 34-105.

Fisher, R., and Tippet, L. (1928). Limiting Forms of the Frequency Distribution of the Largest or Smallest Member of a Sample, Proceedings of the Cambridge Philosophical Society 24, pp. 180-190.

Gujarati, D. N. (1997). Econometría básica, 3ra Edición, McGraw-Hill, New York, United States.

Hansen, P. and Lunde, A. (2005). A Forecast Comparison of Volatility Models: Does anything beat a GARCH(1;1)?, Journal of Applied Econometrics, 20, pp. 873-889.

Jackson, P., Maude, D. J., and Perraudin, W. (1998). Bank Capital and Value at Risk, Working Paper, Bank of England, London, United Kingdom.

Jondeau, E., and Rockinger, M. (2003). Testing for differences in the tails of stock-marketreturns, Journal of Empirical Finance 209, pp. 1-23.

Jondeau, E., and Rockinger, M. (April 1999). The Behaviour of Stock Returns: Emerging versus Mature Markets, Paper 66, Banque de France, Paris, France.

Jorion, P. (1999). Valor en riesgo, Editorial Limusa, México DF, Mexico.

JP Morgan.(1994). Doc. Técnico RiskMetrics., http://www.riskmetrics.com.

JP Morgan and Reuters. (1996). Risk Metrics Technical Document, Fourth Edition, NewYork, United States.

Kupiec, P. (1995). Techniques for Verifying the Accuracy of Risk Measurement Models, Journal of Derivatives 3, pp. 73-84.

Mandelbrot, B. (1963). The Variation of Certain Speculative Prices,Journal of Business, 36, pp. 394-419.

Manganelli, S. and Engle, R. (2004). A Comparison of Value-at-Risk Models in Finance, Risk Measures for the 21st Century edited by G. Szegö, (2004), John Wiley & SonsLtd., Chichester, West Sussex,United Kingdom.

Manganelli, S., and Engle, R. (August 2001). Value at Risk Models in Finance, Working Paper N.° 75, Working Paper Series, European Central Bank.

MAPA, D. (s/d viewed December 2007). A Range-Based Generalized Auto Regressive Conditional Heteroskedasticity Model for Forecasting Financial Volatility, availableat http://www.gloriamundi.org.

McNeil, A., J., and Frey, R., (June 1999). Estimation of Tail-Related Risk Measures for Heteroscedastic Financial Time Series: an Extreme Value Approach, available at http://www.gloriamundi.org.

McNeil, A. J., Frey, R., and Embrechts, P. (2005). Quantitative Risk Management, Princeton University Press, Princeton, New Jersey, United States.

McNeil, A., and Saladin, T. (1997). The Peaks Over Thresholds Methods for Estimating High Quantiles for Loss Distributions, Proceedings of the XXVIIIth International Astin Colloquium, Cairns, pp. 23-43.

Neftci, S. (Spring 2000). Value at Risk Calculations, Extreme Events, and Tail Estimation,available at http://www.gloriamundi.org.

Osterreischische National Bank (ONB) (September 1999). “Stress Testing”, Guidelines on Market Risk Volume 5, Vienna, Austria.

Penza, P., and Bansal, V. (2001). Measuring Market Risk with Value at Risk, Financial Engineering Series, John Wiley and Sons, New York, United States.

Pickands, J. (1975). Statistical Inference Using Extreme Order Statistics, Annals of Statistics 3, pp. 119-131.

Rachev, S., Menn, C. and Fabozzi, F. (2005) Fat-Tailed and Skewed Asset Return Distributions, John Wiley & Sons, New Jersey, United States.

Reiss, R.-D., and Thomas, M. (2007). Statistical Analysis of Extreme Values with Applications to Insurance, Finance, Hydrology and Other Fields, Birkhäuser Verlag, AG, Berlin, Germany.