DOI: https://doi.org/10.18601/17941113.n12.06

Medidas de desempeño por cocientes y dominancia estocástica de primer y segundo orden

John Freddy Moreno Trujillo*

* Magíster en Matemática Aplicada. Docente investigador. Universidad Externado de Colombia, Bogotá (Colombia). [jhon.moreno@uexternado.edu.co].

Fecha de recepción: 03 de mayo de 2017. Fecha de aceptación: 5 de junio de 2017.

Para citar este artículo: Moreno Trujillo, J. F. (2017). Medidas de desempeño por cocientes y dominancia estocástica de primer y segundo orden. ODEON, 12, pp. 147-157.


Resumen

Se presentan los conceptos básicos de la teoría de dominancia estocástica y la definición de medidas de desempeño por cociente de Farinelli y Tibiletti (FT). Se establece una relación de consistencia entre la selección de prospectos de inversión por dominancia estocástica y las medidas FT y se muestra una extensión de esta relación al caso de la medida de desempeño Omega.

Palabras clave: medidas de desempeño, dominancia estocástica. Códigos jel: C10, C16, C65.


Abstract

We present the basic concepts of stochastic dominance theory and the definition of measures of performance by quotient of Farinelli and Tibiletti (FT). A consistency relationship is established between the selection of investment prospects by stochastic dominance and the FT measures and an extension of this relation is shown to the case of the Omega performance measure.

Key words: Performance measures, stochastic dominance. jel codes: C10, C16, C65


Introducción

Dado el notorio crecimiento del número de posibilidades de inversión que a diario se oferta a los diferentes agentes de los mercados mundiales, se ha incentivado una muy interesante competencia entre los diversos gestores de portafolios de inversión que buscan atraer una mayor cantidad de clientes. Esto ha llevado al desarrollo de medidas de desempeño cada vez más completas, que permitan a los inversionistas comparar entre las diferentes alternativas de forma que, a partir de unos grados de información mínimos necesarios, puedan establecer el nivel de éxito de las diferentes alternativas en la consecución de sus objetivos.

Las medidas de desempeño forman una parte de la teoría moderna del portafolio, y la selección de una determinada medida pasa por establecer una relación entre su facilidad de implementación y lo completo de los resultados que arroja. Dentro del conjunto de medidas basadas en el riesgo de caída y los momentos de la distribución del retorno se destacan aquellas que buscan comparar, mediante cocientes, los rendimientos por encima y por debajo de un determinado nivel de rentabilidad (particularmente, el cociente de potencial crecimiento de Sortino, van der Meer y Platinga, y la medida Omega de Keating y Shadwick). Este tipo de medidas pueden ser extendidas al caso más general de una medida de desempeño por cocientes propuesta por Farinelli y Tibiletti (2008), las cuales han llamado particularmente la atención de la academia y el sector real por su sencilla implementación y poderosos resultados.

Por otro lado, la teoría de dominancia estocástica también se ha posicionado como una muy importante herramienta en el proceso de selección entre alternativas de inversión, ya que permite comparar las diferentes alternativas sin hacer supuestos sobre la función de utilidad del tomador de decisión. Al considerar las medidas de desempeño y la teoría de dominancia estocástica surge la pregunta: si un agente selecciona una determinada alternativa de inversión por sobre otra u otras, ya que esta domina estocásticamente a las demás, żes la medida de desempeño por cociente de esta alternativa consistentemente mejor que la de las demás alternativas? Esta es la pregunta que se estudia en este documento, y busca establecer si hay consistencia entre de las medidas de desempeño por cociente propuestas por Farinelli y Tibilleti (en adelante FT), con el concepto de dominancia estocástica de algún orden, entre alternativas de inversión.

En la sección 1 se establece la notación que se seguirá a lo largo del documento y se presenta el concepto de dominancia estocástica de diferentes órdenes. En la sección 2 se presenta la definición formal de la medida de desempeño por cocientes de FT, y en la sección 3 se realiza la discusión acerca de la relación entre dominancia estocástica y los cocientes FT. Por último, se presentan conclusiones y futuros temas de investigación relacionados.

1. Dominancia estocástica

En el campo de las finanzas modernas, la teoría de dominancia estocástica está relacionada con la teoría de utilidad esperada y la forma como se realizan los procesos de selección bajo incertidumbre. La teoría de la utilidad esperada fue introducida en 1944 por von Neumann y Morgenstern, y de acuerdo con esta, las preferencias de un inversionista son descritas por medio de su función de utilidad esperada. Si no hay incertidumbre, esta función de utilidad puede ser interpretada como un mapeo entre las alternativas disponibles y los números reales, que indica la "satisfacción relativa" del inversionista por una alternativa particular. Si un individuo prefiere a X sobre Y, entonces la utilidad de X es mayor que la utilidad de Y, luego la función de utilidad caracteriza las preferencias del individuo. Von Neumann y Morgenstern muestran que, si hay incertidumbre, es la utilidad esperada la que caracteriza las preferencias, y definen la utilidad esperada de un prospecto incierto como el promedio ponderado por probabilidad de la utilidad de los resultados simples.

Sean Fχ(χ) y FY(χ) las funciones de distribución acumulada de los retornos de dos prospectos de inversión inciertos X y Y. Un inversionista con función de utilidad u(χ) prefiere a X sobre Y si y solo si la utilidad esperada de X es mayor que la utilidad esperada de Y, es decir:

Donde,

El resultado básico de von Neumann y Morgenstern establece que, si el orden las preferencias del inversionista satisface ciertas condiciones técnicas, este puede ser representado de manera única por una función de utilidad esperada que es invariante ante transformaciones lineales positivas. Algunas de las propiedades de la función de utilidad esperada son derivadas a partir de argumentos válidos para todos los inversionistas de una cierta categoría. Por ejemplo, considerando un conjunto de prospectos de inversión, todos los inversionistas prefieren más que menos, lo que se conoce como propiedad de no saciedad, e implica que las funciones de utilidad son no decrecientes. También se sabe que todos los inversionistas que le tienen aversión al riesgo tienen funciones de utilidad cóncavas, y aquellos que prefieren prospectos con sesgo positivo tienen funciones de utilidad con tercera derivada negativa. De forma general, el comportamiento de las derivadas de la función de utilidad permite caracterizar a ciertos tipos de inversionistas.

Sean X y Y dos portafolios para los cuales todos los inversionistas de una cierta clase no prefieren a Y sobre X. Esto significa que la distribución de probabilidad del retorno de los dos portafolios difiere de una forma especial, en la cual, sin importar la forma particular de la función de utilidad, si un inversionista está en esta clase, no prefiere a Y sobre X. En este caso se dice que el portafolio X domina al portafolio Y respecto a esta clase de inversionistas. Este tipo de relación es denominada relación de dominancia estocástica o relación de orden estocástico.

La relación de dominancia estocástica de diferentes órdenes se define a partir de considerar ciertas propiedades sobre las derivadas de u(χ). Si se denota por Un al conjunto de todas las funciones de utilidad cuyas derivadas satisfacen las desigualdades (-1)k+1ukχ) ≥ 0, k = 1, 2,...n donde u(k)(χ) denota la derivada de orden K de u(χ), se tiene que, para cada n, se satisface U1 U2 ... Un...

En general, sobre la variable aleatoria X, que representa la distribución del retorno de un cierto prospecto de inversión, se asumirá que sus momentos absolutos son finitos, es decir para todo K.

Definición 1: se dice que un portafolio X domina a un portafolio Y, en el sentido de la dominancia estocástica de orden n, X AQUI VA SIMBOLOn Y, si ningún inversionista cuya función de utilidad está en el conjunto Un prefiere a Y sobre X, es decir:

Una forma equivalente en la que se puede describir la dominancia estocástica de orden n es considerando solamente las funciones de distribución acumulada de los prospectos. En este sentido se tiene que:

donde F(n)χ(χ) denota la n-ésima integral (o integral de orden n ) de la función de distribución acumulada de X, es decir:

con F(0)χ(X) = fχ(χ). Otra forma de expresar la condición (4) es:

donde (t - χ)n - 1+ = max (t - χ, 0) n - 1, lo que muestra la necesidad de que los momen tos absolutos de la variable sean finitos.

Como la dominancia estocástica de orden n impone condiciones cada vez mayores sobre las derivadas de la función de utilidad se tiene que:

2. Medidas de desempeño por cociente

Farinelli y Tibiletti (2008) definen un conjunto de medidas de desempeño que utilizan cocientes para establecer la relación riesgo-recompensa de un determinado prospecto de inversión. Este tipo de medidas son interesantes por la sencillez de su implementación y lo general de sus resultados, al no involucrar en su cálculo de forma específica la función de utilidad del tomador de decisión.

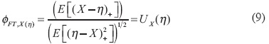
Definición 2: para un prospecto de inversión X, se define el cociente de FT, Φ FT,Χ(η), como:

donde η es llamado umbral de retorno y establece el nivel de rentabilidad mínimo exigido por el inversionista sobre el prospecto X, es decir, para el inversionista un retorno inferior a este valor es considerado como una pérdida. Las cantidades p y q son valores positivos asociados al grado de aversión al riesgo del inversionista y (X - η)+ = max (X - η,0); (η - X)+ = max (η - X ,0).

Como un ejemplo de las medidas de desempeño implícitas al considerar el cociente FT se tienen:

• Si p=1 y q=2

que es el cociente de crecimiento potencial de Sortino, van der Meer y Platinga (1999).

Si p = 1 y q = 1

que es la medida Omega de Keating y Shadwick (2002b)1.

A partir de la definición de la medida de desempeño FT, se establece una relación de dominancia entre prospectos de inversión, de la siguiente manera. Para dos prospectos de inversión X y Y cualesquiera, con cocientes FT, respectivamente, se dice que X domina a Y por el cociente FT, , si se tiene que para todo n en los reales.

3. Dominancia estocástica y medidas de desempeño FT

En las dos secciones anteriores se presentaron las definiciones de dominancia estocástica de orden n y de las medidas de desempeño por cociente FT. El siguiente teorema establece una relación entre estas dos teorías y se muestra un ejemplo particular de dicha relación para el caso de la medida de desempeño Omega.

Teorema (Cuizhen Niu, Wing-Keung Wong, Lixing Zhu)

Para dos prospectos de inversió X y Y con cocientes FT respectivamente, si y entonces para cualquier η en los reales y para cualesquiera valores positivos de p y q.

La demostración de este resultado se sigue al considerar que para p≥2, que es equivalente a . Dado que es siempre positivo se concluye que para cualquier η en los reales.

Como un caso de particular interés, y que extiende este resultado, se tiene que , donde

Para la demostración de este resultado se sigue el desarrollo presentado por Wai Mun Fong (2016), en el cual, al aplicar el teorema de Fubini, se expresa que el numerador en la definición de la medida Omega es:

y el denominador es , siguiendo la notación que se definió en (5). De esta forma, Omega se expresa como:

Para Ogryczak y Ruszcynnski (1999), la expresión en el numerador de (11) es tal que , siendo μχ la media de los retornos de X, con lo cual:

En el trabajo de Fishburn (1980) se muestra que y como para cualquier η en los reales se tiene que F(2)(η) > 0, entonces lo que prueba el resultado.

4. Conclusiones

Los elementos expuestos en este documento muestran que la medida de desempeño por cociente de FT está directamente relacionada con la teoría de la utilidad esperada para todos los agentes no saciados (dominancia estocástica de primer orden), y que en algunos casos particulares de la medida FT esta relación se puede extender al caso de agentes con aversión al riesgo (dominancia estocástica de segundo orden), lo que muestra consistencia entre la selección de prospectos por dominancia o por cociente FT.

Como una extensión de este trabajo se propone considerar la relación entre las medidas de desempeño FT (y los casos particulares que de esta se desprenden) con la teoría de métricas de probabilidad, que resulta ser un caso más general que el de dominancia estocástica.


Notas

1 Keating y Shadwick definen la medida de desempeño Omega como: , donde Fx es la función de distribución acumulada del retorno del prospecto X. Dado que:

donde Sχ(η) representa la función de sobrevivencia. Integrando por partes se tiene que:

Lo que muestra la igualdad en el numerador de las dos definiciones. Procediendo de forma análoga se puede mostrar la igualdad de los denominadores.


Referencias

Artzner, P., Delbaen, F., Eber, J. M. y Heath, D. (1999). Coherent measures of risk. Mathematical finance, 9(3), 203-228.

Farinelli, S. y Tibiletti, L. (2008). Sharpe thinking in asset ranking with one-sided measures. European Journal of Operational Research, 185(3), 1542-1547.

Farinelli, S., Rossello, D. y Tibiletti, L. (2006, May). Computational asset allocation using one-sided and two-sided variability measures. In International Conference on Computational Science (pp. 324-331). Springer, Berlin, Heidelberg.

Fishburn, P. C. (1977). Mean-risk analysis with risk associated with below-target returns. The American Economic Review, 67(2), 116-126.

Fishburn, P. C. (1980). Stochastic dominance and moments of distributions. Mathematics of Operations Research, 5(1), 94-100.

Fong, W. M. (2016). Stochastic dominance and the omega ratio. Finance Research Letters, 17, 7-9.

Guo, X. y Wong, W. K. (2016). Multivariate stochastic dominance for risk averters and risk seekers. RAIRO-Operations Research, 50(3), 575-586.

Keating, C. y Shadwick, W. F. (2002). A universal performance measure. Journal of performance measurement, 6(3), 59-84.

Keating, C. y Shadwick, W. F. (2002). An introduction to omega. AIMA Newsletter.

Leland, H. E. (1999). Beyond Mean-Variance: Performance Measurement in a Nonsym-metrical World (corrected). Financial Analysts Journal, 55(1), 27-36.

Levy, H. (2015). Stochastic dominance: Investment decision making under uncertainty. New York: Springer.

Levy, H. (1992). Stochastic dominance and expected utility: survey and analysis. Management science, 38(4), 555-593.

Ma, C. y Wong, W. K. (2010). Stochastic dominance and risk measure: A decision-theoretic foundation for VaR and C-VaR. European Journal of Operational Research, 207(2), 927-935.

Niu, C., Wong, W. K. y Zhu, L. (2016). First Stochastic Dominance and Risk Measurement. MPRA papers.

Ogryczak, W. y Ruszczyñski, A. (1999). From stochastic dominance to mean-risk models: Semideviations as risk measures. European Journal of Operational Research, 116(1), 33-50.

Roy, A. D. (1952). Safety first and the holding of assets. Econometrica: Journal of the Econometric Society, 431-449.

Sharpe, W. F. (1966). Mutual fund performance. The Journal ofbusiness, 39(1), 119-138.

Sharpe, W. F. (1994). The sharpe ratio. The Journal of Portfolio Management, 21(1), 49-58.

Sortino, F., van der Meer, R. y Plantinga, A. (1999). The upside potential ratio. Journal of Performance Measurement, 4(1), 10-15.

Whitmore, G. A. (1970). Third-degree stochastic dominance. The American Economic Review, 60(3), 457-459.