10.18601/17941113.n17.04
Dinámica de portafolios y control óptimo estocástico
Portfolio dynamics and stochastic optimal control
John F. Moreno T.*
* Magíster en Matemática Aplicada. Universidad Externado de Colombia. Bogotá, Colombia. [jhon.moreno@uexternado.edu.co] [ORCID: 0000-0002-2772-6931].
Artículo recibido el 15 de octubre de 2019.
Aceptado el 13 de noviembre de 2019.
Para citar este artículo:
Moreno Trujillo, J. F. (2019). Dinámica de portafolios y control óptimo estocástico. ODEON, 17, pp. 89-106. DOI: https://doi.org/10.18601/17941113.n17.04
Resumen
Se presenta una introducción a la teoría de control óptimo estocástico y sus aplicaciones en el marco del problema de selección óptima de portafolios.
Palabras clave: optimización de portafolios; control óptimo estocástico; ecuación de Hamilton-Jacobi-Bellman.
Clasificación JEL: C02, C22, C61.
Abstract
An introduction to the stochastic optimal control theory and its applications is presented within the framework of the optimal portfolio selection problem.
Key words: portfolio optimización; stochastic optimal control; Hamilton-Jacobi-Bellman equation.
JEL classification: C02, C22, C61.
Introducción
En este documento se presenta un modelo para describir la dinámica de un portafolio autofinanciado conformado por diversos activos en tiempo continuo, junto con una introducción a la aplicación de la teoría de control óptimo estocástico para tratar el problema de su conformación.
Partimos de considerar un mercado financiero conformado por múltiples activos (riesgosos y no riesgosos). El intervalo de tiempo en consideración es [0,T], aunque la teoría se puede extender a [0, ∞). Este intervalo será dividido en periodos de longitud Δt y se asumirá que las negociaciones solo pueden tener lugar en los puntos del tiempo de la forma nΔt, con n = 0,1, 2,… Se denomina como periodo t al intervalo [t, t + Δt) donde t = nΔt para algún n, mientras que al momento de tiempo t lo denominamos instante t.
Se denotará como:
Con la notación anterior se tiene que:
Solo serán considerados portafolios y consumos autofinanciados, es decir, portafolios que no tienen entradas o salidas exógenas de capital distintas a las destinadas para consumo (el término c). Esto implica que los portafolios nuevos deben permitir el consumo, pero deben ser financiados solamente mediante cambios en las posiciones en los activos disponibles.
Para concretar la condición de autofinancimiento consideramos Vt, que denota la riqueza del agente al inicio del periodo t, y que está determinada por el valor en este instante del portafolio viejo del periodo t - Δt, es decir:
lo que implica que el valor de la riqueza del agente en el instante t es el resultado de vender su portafolio viejo a los precios observados en este instante.
En este mismo momento se procede a:
El costo de este nuevo portafolio ht está determinado por
mientras que el costo de consumir a un tasa ct es ctΔt. De esta forma, la condición de autofinanciamiento es:
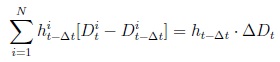
Denotando como ΔXt = Xt - Xt-Δt, para cualquier proceso X, se tiene que:
ht-Δt • St = ht • St +ctΔt
ht• St - ht-Δt • St + ctΔt = 0
(ht - ht-Δt) • St + ctΔt = 0
Δht • St + ctΔt =0
A fin de tener diferenciales en el sentido de Itô (adelantadas), sumamos y restamos el término St-Δt • Δht en el lado izquierdo de la última ecuación considerada, con lo cual:
Δht • St - St-Δt • Δht + St-Δt • Δht + ctΔt = 0
Δht • (St - St-Δt)+ St-Δt • Δht + ctΔt = 0
Δht • ΔSt + St-Δt • Δht + ctΔt = 0
y considerando que Δt → 0 se tiene que:
Si se considera tambien que Δt → 0 en la ecuación (1) se tiene que:
y tomando el diferencial de Itô,
expresión que describe la dinámica del portafolio. De la ecuación (4) se tiene que:
dhtdSt = -Stdht - ctdt
y al reemplazar en (6) se tiene que:
ecuación que describe la dinámica del portafolio autofinanciado, y muestra que los cambios en su valor (dVt) están determinados por los cambios en los precios de los activos que lo conforman (dSt) y el gasto en consumo (ctdt).
1. Portafolios autofinanciados
A partir de las definiciones presentadas es posible concretar los siguientes conceptos:
ht = h(t, St)
es decir, depende solo del último precio observado.
que es la proporción del capital total invertido en el activo i en el instante t. Desde luego y la condición de autofinanciamiento en términos relativos para el par (h, c) es:
1.1. Dividendos
Se define un proceso {Dt; t ≥ 0}, N-dimensional, donde Dit corresponde al valor del dividendo acumulado pagado al poseedor de una unidad del activo i durante el intervalo (0,t]. Se asume que:
para algún proceso deltat. En este caso, se asume que el activo i paga dividendos continuamente a una tasa δ.
Al considerar dividendos en el analisis de la dinámica del portafolio se tiene que:
ht-ΔtSt + ht-ΔtΔDt = htSt + ctΔt
y al aplicar los mismos argumentos utilizados en el caso sin dividendos se tiene que, cuando Δt → 0:
2. Selección de portafolios y control óptimo
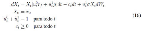
Para lo que sigue se considera una economía en el intervalo [0,T], de forma que en t = 0 cada agente está dotado de una riqueza inicial x0 y su problema es: seleccionar la mejor estrategia (h, c) de inversión y consumo sobre [0,T].
Como oportunidades de inversión se tiene:
Para realizar la inversión, el agente conforma un portafolio tomando posición en los dos activos anteriores, de forma que su portafolio relativo es:
Dado que las estrategias consideradas por el agente deben ser autofinanciadas, su riqueza en el instante t, denotada por Xt, satisface:
o de forma equivalente:
El objetivo del agente es maximizar:
donde F (t, ct) denota la utilidad por consumos entre 0 y T y Φ(XT ) denota la utilidad de llegar al instante T con riqueza. De está forma, el problema del agente es:
sujeto a:
En el planteamiento del problema se pueden identificar:
denominada función de valor, y que hace las veces de función objetivo en el problema de optimización del agente. esta función depende del tiempo t, del valor tomado por el proceso de control x, y del valor tomado por los procesos de control u en el conjunto admisible U.
Al aplicar el principio de programación dinámica, lo que se busca es derivar una ecuación diferencial parcial (EDP) para V(t, x) que permita determinar dicha función. Esta EDP se conoce como ecuación de Hamilton-Jacobi-Bellman.
Se debe anotar que si Φ(XT) = 0 y F es una función no acotada en c, el problema se degenera y no tiene solución. Para evitar esto consideramos para los procesos de control (u) un dominio D definido como:
y se define τ = min{inf{t > 0|Xt = 0}, T}; el problema se plantea como:
2.1. Ecuación de Hamilton-Jacobi-Bellman
Para la deducción de la ecuación de Hamilton-Jacobi-Bellman (HJB) se asume que:
Procedemos entonces a:
Las utilidades esperadas bajo cada estrategia son:
y para el intervalo (t + dt, T]
dado que en este intervalo se está siguiendo el control óptimo. En total para esta estrategia:
que en notación integral, considerando el diferencial entre t y t + dt es:
y tomando el valor esperado en (19) con t y x fijos, se tiene:
donde el valor esperado del último término es igual a 0 ya que este es una integral estocástica.
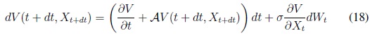
De la ecuación (20) se concluye que:
Al reemplazar (20) en (17) se tiene:
de donde,
Considerando que dt → 0 tenemos que:
La igualdad en esta expresión solo se tiene si el control u es el óptimo û, entonces:
con V (t, x) = Φ(x), esta es la ecuación diferencial parcial de HJB.
Considerando de nuevo el problema del agente se tiene que u0t + u1t = 1; luego, si se establece que u1 = w, entonces 1 - w = uo, con lo cual la evolución del proceso de riqueza del agente puede describirse como:
dXt = wt[µ, - rf ]Xtdt + [rf Xt - ct]dt + wtσXtdWt
y la correspondiente ecuación de HJB es:
En general, la mayor dificultad al enfrentar problemas de control óptimo está en la resolución de la ecuación de HJB; muestra de esto es el limitado número de problemas de este tipo que tiene una solución analítica. Una manera de tratar este problema es proponiendo una forma para la posible función solución de la ecuación, basada en la forma de las funciones de utilidad.
A pesar de lo anterior, es posible establecer una serie de pasos que facilitan la aproximación a la solución de la ecuación.
û = û(t, x; V)
Consideremos un agente con una función de utilidad por consumos dada por:
y una función de utilidad asociada a la riqueza dada por:
para β > 0 y γ ∈ (0,1). Entonces, el problema del agente puede plantearse como:
y el problema de optimización estático es:
Las condiciones de primer orden asociadas a este problema son:
Se propone, entonces, una forma plausible para la función V(t, x) a partir de las funciones de utilidad:
de donde:
luego,
la ecuación de HJB queda expresada como:
al distribuir exponentes, agrupar y factorizar
de donde,
Denotado por:
se tiene,
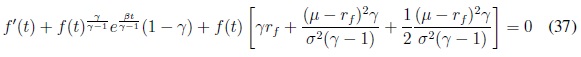
La última de las ecuaciones anteriores corresponde a una ecuación diferencial ordinaria tipo Bernulli, la cual puede resolverse aplicando la transformación , de donde:
Dado que la ecuación (38) puede escribirse como:
utilizando los resultados de la sustitucion se tiene que,
El factor integrante en esta última ecuación diferencial lineal es:
luego,
Al integrar se tiene que:
donde K es una constante de integración.
Dado que g(t) = f (t)1/(1-γ), entonces:
y como f (T) = 1, se tiene que , lo que resuelve completamente el problema.
3. Conclusiones
Este documento es una introducción a la teoría de control óptimo estocástico y sus aplicaciones. Busca introducir al lector en los rudimentos básicos necesarios para entender esta teoría en el marco del problema de selección óptima de portafolios.
Notas
1 Dada una ecuación diferencial estocástica de la forma:
dXt = µ(t, Xt)dt + σ(t, Xt)dWt
el operador infinitesimal, operador diferencial, operador de Dynkin, operador de Itô u operador atrasado de Kolmogorov de Xt, para una función h(t, x) ∈ C1,2 (R), se define como:
Referencias
Björk, T. (2009). Arbitrage theory in continuous time. Oxford: Oxford University Press.
Martínez, F. V. (2008). Riesgos financieros y economicos/financial and economical risks: Productos derivados y decisiones economicas bajo incertidumbre. Bogotá: Cengage Learning Editores.
Mikosch, T. (1998). Elementary stochastic calculus with finance in view. Singapur: World Scientific.
Moreno T., J. F. (2015). Modelos estocásticos en finanzas. Bogotá: Universiad Externado de Colombia.
Oksendal, B. (2013). Stochastic differential equations: an introduction with applications. Berlin: Springer Science & Business Media.
Peng, S. (1993). Backward stochastic differential equations and applications to optimal control. Applied Mathematics and Optimization, 27(2), 125-144.
Shreve, S. (2012). Stochastic calculus for finance 1: The binomial asset pricing model. Berlin: Springer Science & Business Media.
Shreve, S. E. (2004). Stochastic calculus for finance 2: Continuous-time models (Vol. 11). Berlin: Springer Science & Business Media.