10.18601/17941113.n20.05

Valoración de derivados bajo un modelo de difusión con saltos del subyacente en mercados con liquidez estocástica

Pricing derivatives under jump-diffusion model in the underlying in markets with stochastic liquidity

John Freddy Moreno Trujillo*

* Estudiante de Doctorado en Ciencias Económicas; magíster en Matemática Aplicada. Docente-Investigador, CIPE-ODEON, Universidad Externado de Colombia, Bogotá (Colombia). [jhon.moreno@uexternado.edu.co], [ORCID: 0000-0002-2772-6931].

Artículo recibido: 15 de agosto de 2021.
Aceptado: 08 de septiembre de 2021.

Para citar este artículo:
Moreno Trujillo, J. F. (2021). Valoración de derivados bajo un modelo de difusión con saltos del subyacente en mercados con liquidez estocástica. ODEON, 20, 123-137. DOI: https://doi.org/10.18601/17941113.n20.05


Resumen

Una de las fallas del modelo Black-Scholes de valoración es asumir que las actividades de negociación de los agentes no tienen efecto sobre los precios, supuesto que solo puede cumplirse en mercados perfectamente líquidos, lo que hace que el modelo sea muy restrictivo. Este elemento ya ha sido considerado en algunos trabajos que incorporan el efecto de las actividades de negociación de los agentes asumiendo un proceso continuo para la dinámica de los precios, sin embargo, los mercados financieros muestran que una mejor descripción de la dinámica de los precios de activos riesgosos debe incorporar saltos aleatorios. La contribución de este documento es considerar el problema de la valoración de derivados en mercados ilíquidos en donde el precio del activo subyacente sigue un proceso de difusión con saltos. Se presenta la ecuación diferencial parcial no lineal de valoración correspondiente y se describe la estrategia de negociación que minimiza la varianza de la cobertura.

Palabras clave: valoración de derivados; difusión con saltos; iliquidez.

Clasificación JEL: G13, C02.


Abstract

One failure of the Black-Scholes valuation model is to assume that the trading activities of agents have no effect on prices, an assumption that it can only be fulfilled in perfectly liquid markets, making the model very restrictive. This element has already been considered in some studies that incorporate the effect of agent's trading activities assuming a continuous process for price dynamics, however, financial markets show that a better description of the price dynamics of Risky assets must incorporate random jumps. The contribution of this document is to consider the problem of the valuation of derivatives in illiquid markets where the price of the underlying asset follows a diffusion process with jumps. The corresponding non-linear partial differential equation of valuation is presented and the trading strategy that minimizes the variance of the hedge is described.

Key words: valuation of derivatives; diffusion with jumps; illiquidity.

JEL classification: G13, C02.


Introducción

Los derivados son un tipo particular de activo financiero cuyo valor depende del precio de otro activo denominado subyacente y se constituyen en una de las herramientas más ampliamente utilizadas para la gestión de riesgo en los mercados globales. Los tipos básicos de derivados son los futuros, los forwards, los swaps y las opciones; el problema de valoración relacionado con este tipo de activos consiste en encontrar expresiones que permitan determinar su valor en cualquier instante de tiempo.

Aunque este problema esta resuelto bajo una serie de supuestos simplificadores en el trabajo seminal de Black y Scholes (1973), uno de los supuestos considerados es que las actividades de negociación de los agentes no afectan el precio del activo subyacente al derivado, es decir, se asume que los mercados de todos los activos son perfectamente líquidos y competitivos, pero es bien conocido que en un mercado con liquidez imperfecta (como ocurre en la mayoría de los mercados globales) las actividades de negociación afectan los precios de los activos (ver, por ejemplo, los trabajos de Chan y Lakonishok,1995; Keim y Madhavan, 1997; Alexander et al., 2001).

En los trabajos de Liu y Yong (2005) y Moreno Trujillo (2020), los autores estudian el efecto que tienen las actividades de negociación desarrolladas por un gran agente1 sobre la dinámica del precio del activo subyacente y obtienen la siguiente generalización no lineal de la ecuación diferencial parcial (EDP) de Black-Scholes, donde la función V(t, St) denota el valor del derivado en el instante t cuando el precio del activo subyacente es St.

para (t, St) ∈ [0,T] x (0, + ∞), V(T, ST) = h(ST), 0 <St < ∞, donde λ(t, St) es la función que mide el impacto en el precio del activo de las actividades de negociación del agente. Este parámetro está asociado con el nivel de iliquidez del mercado de forma que, entre mayor sea su valor, mayor es el impacto de las actividades de negociación del agente sobre los precios. Se puede ver que si λ(t, St) = 0 la ecuación se transforma en la clasica EDP de Black-Scholes.

También existen en la literatura múltiples trabajos en los que se estudia el problema de la valoración de derivados en un mercado donde los precios de los activos subyacentes siguen procesos de difusión con saltos (ver, por ejemplo, Merton, 1976; Dritschel y Protter, 1999; El-Khatib y Privault, 2003), pero no es comun encontrar trabajos en donde los activos sigan un proceso de difusión con saltos y se considere al mismo tiempo el problema de la iliquidez. Como una referencia a este tipo de modelos se puede citar el trabajo de El-Khatib y Hatemi-J (2013).

En este documento se aborda el trabajo de Liu y Yong (2005) y Moreno Trujillo (2020) considerando un modelo de difusión con saltos para la dinámica del precio del activo subyacente en un mercado con iliquidez, y se establece la ecuación diferencial parcial no lineal de valoración correspondiente. La importancia de esta extensión radica en que el modelo propuesto permite incorporar dentro de la valoración cambios inesperados en la dinámica de los mercados (al considerar saltos en los precios), junto con el efecto que las actividades de negociación de los agentes tienen sobre los precios de los derivados.

El documento está dividido de la siguiente manera: en la sección uno se presenta el modelo de difusión y saltos con factor de iliquidez para el precio del activo riesgoso. En la sección dos se describe el problema de valoración de derivados para el modelo de precio de activo subyacente descrito en la sección uno y se deduce la ecuación diferencial parcial no lineal de valoración junto con la expresión que describe la estrategia de negociación del agente que minimiza la varianza en el problema de valoración. Finalmente, en la sección tres se presentan algunas conclusiones.

1. Modelo de difusión con saltos en mercados con iliquidez

Consideramos un proceso Poisson (Nt)t∈[0,T] con intensidad determinística p y Mt = Nt - pt el proceso Poisson compensado asociado. El proceso (Wt)t∈[0,T] es un movimiento Browniano estandar. Los procesos estan definidos sobre un espacio de probabilidad filtrado (Ω, F, P) con (Mt)t∈[0,T]; y (Wt)t∈[0,T] independientes. Se denotara por (Ft)t∈[0,T] a la filtracion generada por (Nt)t∈[0,T] y (Wt)t∈[0,T]. Se consideran tres tipos de activos en el mercado: un activo libre de riesgo (Bt)t∈[0,T], un activo riesgoso (St)t∈[0,T] y un derivado pactado sobre el activo riesgoso (Vt)te[0,T] . Como en los trabajos de Liu y Yong (2005) y Moreno Trujillo (2020), las actividades de negociación de un gran agente del mercado tienen impacto directo sobre los precios de los activos: empujan el precio al alza cuando compra y presionan a la baja cuando vende.

El precio del activo libre de riesgo está dado por:

dBt = rBtdt (2)

donde: r > 0 denota una tasa de interés libre de riesgo. El precio del activo riesgoso es generado por la siguiente ecuación diferencial estocástica:

para t ∈ [0,T], S0 = x > 0 y donde: µ(t,St) y σ(t,St) representan el retorno esperado y la volatilidad del activo respectivamente. El término α es una constante real asociada a la magnitud y el sentido de los saltos, si α < 0 el salto empuja el precio a la baja, si α > 0 el salto empuja el precio al alza, y si α = 0 no se presentan saltos. El término λ(t, St) denota impacto sobre el precio de las actividades de compra y venta del activo. El término θt denota el número de acciones que el agente posee en el instante de tiempo t de forma que λ(t, St)dθt incorpora el impacto en el precio de las actividades de negociación del agente.

2. Valoración de derivados considerando difusión con saltos e iliquidez

El proceso (Xt)t∈[0,T] describe el valor del portafolio asociado con la estrategia de negociación del agente. Denotando con (ψt)t∈[0,T] el número de unidades monetarias invertidas en el activo sin riesgo, se tiene que el valor del portafolio está dado por:

Xt = ψtBt + θtSt ; t ∈ [0, T] (4)

Se asume que el número de unidades del activo riesgoso que posee el agente en un determinado instante satisface la siguiente ecuación diferencial estocástica:

t = ηtdt + ξt(dWt + βdMt) ; t ∈ [0, T] (5)

donde: ηt describe la tendencia en el número de acciones que posee a lo largo del tiempo y ξt es el coeficiente del término de variación respecto a la tendencia, la cual es representada mediante el término Browniano asociado a los precios y una ponderación (β) de los posibles saltos.

Dado un derivado con pay-off h(ST), para su valoración se busca una estrategia (ψtt)t0∈[0,T] que en la fecha de expiración del derivado replique de manera perfecta sus pagos, es decir XT = h(ST). Por la aplicación de la formula de Ito se tiene que:

luego,

El objetivo en este trabajo es valorar un derivado cuyo pay-off es h(ST), donde ST está dado por (3). Como se indicó, la valoración del derivado se realizará por replicación, es decir, se busca determinar una estrategia de negociación que permita generar un valor terminal de la riqueza XT = h(ST), lo que implica resolver el siguiente sistema de ecuaciones diferenciales estocásticas (denominado sistema forward-backward):

con S0 > 0, θ0 > 0 y XT = h(ST)

La siguiente proposición establece la ecuación diferencial parcial no lineal de valoración para un derivado pactado sobre un activo que sigue un proceso de difusión con saltos en un mercado con iliquidez.

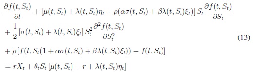
Proposición 1. Sea f (t,St) la función que describe el precio del derivado en t ∈ [0,T] para el modelo presentado en la sección 2, entonces la correspondiente ecuación diferencial parcial no lineal de valoración está dada por:

con condición terminal f (T, ST)= h(ST). Además, como el mercado es incompleto, no es posible encontrar una estrategia que cumpla con la condición terminal XT = h(ST):= f (T, ST), sin embargo el número de unidades del activo riesgoso θ que minimiza la varianza esta dado por:

Demostración 1. El lema de Itô para procesos de difusión con saltos establece que si gt, lt y kt son procesos adaptados tales que y , entonces, para un proceso (Xt)t∈[0T] que satisface:

dXt = gtdt + ltdWt + ktdMt (10)

con dMt = dNt - pdt y para f (t, x) C1,2 ([0,T] x ) se tiene que:

Sea (θ,S,X) una solución adaptada del sistema de ecuaciones diferenciales (7), y asumiendo que existe una función f ∈ C l,2([0,T] x (0, ∞)) tal que f (t, St) representa el precio del derivado en t ∈ [0,T] con f (T, ST) = h(ST), aplicando la formula de Itô para procesos de difusión con saltos (11) se tiene que:

Si se comparan (6) y (12) se deduce que no es posible encontrar una estrategia (ηtt)t∈[0,T] que resulte en un nivel de riqueza XT = h(ST) := f (T,ST). Si se igualan los coeficientes de tendencia en (6) y (12) se encuentra la ecuación diferencial parcial de valoración:

con condición terminal f (T, ST) = h(ST). Si minimizamos la distancia entre la riqueza XT y el precio del derivado al vencimiento f (T, ST)= h(ST) sobre el número de unidades del activo riesgoso θt, tenemos:

Por (6), (11) y (12) se tiene que:

donde:

El mínimo es obtenido cuando l'(x) = 0, lo que lleva al siguiente resultado:

luego,

con lo cual finaliza la demostración.

3. Conclusiones

La valoración de derivados es parte integral de la administración moderna del riesgo en los mercados financieros globales, y la formulación clásica de Black y Scholes por lo general es utilizada para este fin; sin embargo, uno de los principales supuestos de este modelo es que los mercados son perfectamente líquidos y competitivos, lo que en general no se tiene. Esto muestra que considerar la iliquidez del mercado como parte integral del problema de valoración ayuda a tener resultados más cercanos a la realidad. Este documento busca aportar a la literatura en esta dirección (particularmente a la literatura en español) considerando el problema de la valoración de derivados cuando el precio del activo subyacente sigue un modelo de difusión con saltos en un mercado con iliquidez.

Se presentó una descripción del problema de valoración y la ecuación diferencial correspondiente, así como una solución de mínima varianza para el problema de valoración de derivados en este contexto de mercado incompleto.


Nota

1 Un agente cuyo tamaño relativo al del mercado es lo suficientemente grande como para que sus actividades de negociación alteren los precios.


Referencias

Alexander, G. J., Sharpe, W. F., y Bailey, J. V. (2001). Fundamentals of investments. Pearson Educación.

Black, F., y Scholes, M. (1973). The valuation of options and corporate liabilities. Journal of Political Economy, 81(3), 637-654.

Chan, L. K., y Lakonishok, J. (1995). The behavior of stock prices around institutional trades. The Journal of Finance, 50(4), 1147-1174.

Dritschel, M., y Protter, P. (1999). Complete markets with discontinuous security price. Finance and Stochastics, 3(2), 203-214.

El-Khatib, Y., y Hatemi-J, A. (2013). On option pricing in illiquid markets with jumps. International Scholarly Research Notices, 2013.

El-Khatib, Y., y Privault, N. (2003). Hedging in complete markets driven by normal martingales. Applicationes Mathematicae, 2(30), 147-172.

Keim, D. B., y Madhavan, A. (1997). Transactions costs and investment style: An inter-exchange analysis of institutional equity trades. Journal of Financial Economics, 46(3), 265-292.

Liu, H., y Yong, J. (2005). Option pricing with an illiquid underlying asset market. Journal of Economic Dynamics and Control, 29(12), 2125-2156.

Merton, R. C. (1976). Option pricing when underlying stock returns are discontinuous. Journal of financial economics, 3(1-2), 125-144.

Moreno Trujillo, J. F. (2020). Dinámica de precios y valoración de activos contingentes en mercados con riesgo de liquidez. ODEON-Observatorio de Economía y Operaciones Numéricas (19).